基本信息
| 产品名称 |
3,8,13,17-四甲基-5,10,15,20,22,24-六氢卟啉-2,7,12,18-四丙酸 |
| 英文名 |
3,8,13,17-Tetramethyl-5,10,15,20,22,24-Hexahydroporphyrin-2,7,12,18-Tetrapropanoic Acid |
| 别名 |
3,8,13,17-Tetramethyl-5,10,15,20,22,24-Hexahydroporphyrin-2,7,12,18-Tetrapropionic Acid; Chebi:15439; Coproporphyrin Iii, Hexahydro Deriv. |
|
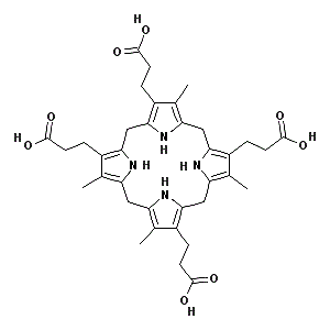
| 分子结构 |
 |
| 分子式 |
C36H44N4O8 |
| 分子量 |
660.77 |
| CAS 登录号 |
2624-63-7 |
| 分子行输入简码 SMILES |
C(C1=C5[NH]C(=C1C)CC2=C(C(=C([NH]2)CC3=C(C(=C([NH]3)CC4=C(C(=C([NH]4)C5)CCC(=O)O)C)C)CCC(=O)O)C)CCC(=O)O)CC(=O)O |
| 国际化学标识码 InChI |
1S/C36H44N4O8/c1-17-21(5-9-33(41)42)29-14-27-19(3)22(6-10-34(43)44)30(39-27)15-28-20(4)24(8-12-36(47)48)32(40-28)16-31-23(7-11-35(45)46)18(2)26(38-31)13-25(17)37-29/h37-40H,5-16H2,1-4H3,(H,41,42)(H,43,44)(H,45,46)(H,47,48) |
| 国际化学标识检索码 InChIKey |
NIUVHXTXUXOFEB-UHFFFAOYSA-N |
|