基本信息
| 产品名称 |
2-(氨基甲酰氧基甲基)-2-甲基丁基异丙基氨基甲酸酯 |
| 英文名 |
2-(Carbamoyloxymethyl)-2-Methylbutyl Isopropylcarbamate |
| 别名 |
[2-(Carbamoyloxymethyl)-2-Methyl-Butyl] N-Isopropylcarbamate; N-Isopropylcarbamic Acid [2-(Carbamoyloxymethyl)-2-Methylbutyl] Ester; N-Isopropylcarbamic Acid [2-(Carbamoyloxymethyl)-2-Methyl-Butyl] Ester |
|
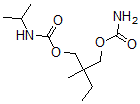
| 分子结构 |
 |
| 分子式 |
C11H22N2O4 |
| 分子量 |
246.31 |
| CAS 登录号 |
25384-70-7 |
| 分子行输入简码 SMILES |
C(C)C(C)(COC(N)=O)COC(=O)NC(C)C |
| 国际化学标识码 InChI |
1S/C11H22N2O4/c1-5-11(4,6-16-9(12)14)7-17-10(15)13-8(2)3/h8H,5-7H2,1-4H3,(H2,12,14)(H,13,15) |
| 国际化学标识检索码 InChIKey |
FBRXLSJWUNGLDK-UHFFFAOYSA-N |
|