Online Database of Chemicals from Around the World

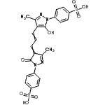
4-(5-羟基-3-甲基-4-{3-[3-甲基-5-氧代-1-(4-磺基苯基)-1,5-二氢-4H-吡唑-4-亚基]-1-丙烯-1-基}-1H-吡唑-1-基)苯磺酸
[CAS# 24704-54-9]

基本信息
产品名称 4-(5-羟基-3-甲基-4-{3-[3-甲基-5-氧代-1-(4-磺基苯基)-1,5-二氢-4H-吡唑-4-亚基]-1-丙烯-1-基}-1H-吡唑-1-基)苯磺酸
英文名 4-(5-Hydroxy-3-Methyl-4-{3-[3-Methyl-5-Oxo-1-(4-Sulfophenyl)-1,5-Dihydro-4H-Pyrazol-4-Ylidene]-1-Propen-1-Yl}-1H-Pyrazol-1-Yl)Benzenesulfonic Acid
别名 p-[4,5-dihydro-4-[3-[5-hydroxy-3-methyl-1-(4-sulphophenyl)-1H-pyrazol-4-yl]allylidene]-3-methyl-5-oxo-1H-pyrazol-1-yl]benzenesulphonic acid
分子结构 CAS 登录号:24704-54-9, 4-(5-羟基-3-甲基-4-{3-[3-甲基-5-氧代-1-(4-磺基苯基)-1,5-二氢-4H-吡唑-4-亚基]-1-丙烯-1-基}-1H-吡唑-1-基)苯磺酸
分子式 C23H20N4O8S2
分子量 544.56
CAS 登录号 24704-54-9
EINECS 登录号 246-424-1
分子行输入简码 SMILES OS(=O)(=O)c1ccc(cc1)n4nc(C)c(C=CC=C3C(\C)=N/N(c2ccc(cc2)S(O)(=O)=O)C3=O)c4O
国际化学标识码 InChI 1S/C23H20N4O8S2/c1-14-20(22(28)26(24-14)16-6-10-18(11-7-16)36(30,31)32)4-3-5-21-15(2)25-27(23(21)29)17-8-12-19(13-9-17)37(33,34)35/h3-13,28H,1-2H3,(H,30,31,32)(H,33,34,35)
国际化学标识检索码 InChIKey FNDCLGUEMQQMSV-UHFFFAOYSA-N
物理化学性质
密度 1.568g/cm3 (计算值)
折射率 1.704 (计算值)
市场分析报告
请浏览4-(5-羟基-3-甲基-4-{3-[3-甲基-5-氧代-1-(4-磺基苯基)-1,5-二氢-4H-吡唑-4-亚基]-1-丙烯-1-基}-1H-吡唑-1-基)苯磺酸市场分析报告总目录
相关产品
3-(氟甲基)-3,4-二氢-1(2H)-异喹啉酮  3-(氟甲基)-1-氧代-1,2,3,4-四氢-7...  3-(氟甲基)-7-硝基-3,4-二氢-1(2H)...  苄基(2S)-1-[(1S)-1-苯基乙基]-2-...  铵;2-(4-异丙基-4-甲基-5-氧代-1H-咪...  甲基2,2':6',2''-三联吡啶-4'-羧酸酯  1-(甲氧基甲基)哌嗪  2-[(4-苄基-1-哌嗪基)甲基]苯甲酸  8H-[1,2]恶唑并[5,4-b]吲哚  乙基(6-甲基-3-吡啶基)氨基甲酸酯  3-氟-6-甲基-2-硝基吡啶  (4-乙烯基苯氧基)甲醇  4-(4,5-二氢-1,2-恶唑-3-基氧基)-2...  1-(2-乙炔基-1-环戊烯-1-基)乙酮  2-(12-十三碳炔-1-基)呋喃