基本信息
| 产品名称 |
N-亮氨酰柔红霉素 |
| 英文名 |
N-Leucyldaunorubicin |
| 别名 |
(2R)-N-[(2S,3S,4S,6R)-6-[[(1S,3S)-3-Acetyl-3,5,12-Trihydroxy-10-Methoxy-6,11-Dioxo-2,4-Dihydro-1H-Tetracen-1-Yl]Oxy]-3-Hydroxy-2-Methyl-Tetrahydropyran-4-Yl]-2-Amino-4-Methyl-Pentanamide; (2R)-N-[(2S,3S,4S,6R)-6-[[(1S,3S)-3-Acetyl-3,5,12-Trihydroxy-10-Methoxy-6,11-Dioxo-2,4-Dihydro-1H-Tetracen-1-Yl]Oxy]-3-Hydroxy-2-Methyl-4-Tetrahydropyranyl]-2-Amino-4-Methylpentanamide; (2R)-N-[(2S,3S,4S,6R)-6-[[(1S,3S)-3-Acetyl-3,5,12-Trihydroxy-6,11-Diketo-10-Methoxy-2,4-Dihydro-1H-Tetracen-1-Yl]Oxy]-3-Hydroxy-2-Methyl-Tetrahydropyran-4-Yl]-2-Amino-4-Methyl-Valeramide |
|
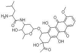
| 分子结构 |
 |
| 分子式 |
C33H40N2O11 |
| 分子量 |
640.69 |
| CAS 登录号 |
23828-86-6 |
| 分子行输入简码 SMILES |
[C@@H]3(O[C@@H]1O[C@H]([C@@H](O)[C@@H](NC(=O)[C@H](N)CC(C)C)C1)C)C2=C(O)C5=C(C(=C2C[C@](O)(C3)C(=O)C)O)C(=O)C4=CC=CC(=C4C5=O)OC |
| 国际化学标识码 InChI |
1S/C33H40N2O11/c1-13(2)9-18(34)32(42)35-19-10-22(45-14(3)27(19)37)46-21-12-33(43,15(4)36)11-17-24(21)31(41)26-25(29(17)39)28(38)16-7-6-8-20(44-5)23(16)30(26)40/h6-8,13-14,18-19,21-22,27,37,39,41,43H,9-12,34H2,1-5H3,(H,35,42)/t14-,18+,19-,21-,22-,27+,33-/m0/s1 |
| 国际化学标识检索码 InChIKey |
DZINNPYMYFDDHL-LRYKVSCXSA-N |
|