Online Database of Chemicals from Around the World

Dehydroretrorsine
[CAS# 23092-97-9]

Suppliers
CAS#: 23092-97-9
Product: Dehydroretrorsine
No suppilers available for the product.
Identification
Name Dehydroretrorsine
Synonyms Dehydroretrorsine; Dehydroretrosine; Retrorsine Didehydro-
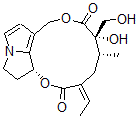
Molecular Structure CAS#: 23092-97-9, Dehydroretrorsine
Molecular Formula C18H23NO6
Molecular Weight 349.38
CAS Registry Number 23092-97-9
SMILES [C@H]12OC(=O)C(/C[C@H]([C@@](O)(C(OCC3=C1[N](CC2)C=C3)=O)CO)C)=C\C
InChI 1S/C18H23NO6/c1-3-12-8-11(2)18(23,10-20)17(22)24-9-13-4-6-19-7-5-14(15(13)19)25-16(12)21/h3-4,6,11,14,20,23H,5,7-10H2,1-2H3/b12-3-/t11-,14-,18-/m1/s1
InChIKey HEVMYCOMWSDUCL-UQLKVITLSA-N
Properties
Density 1.379g/cm3 (Cal.)
Boiling point 602.195°C at 760 mmHg (Cal.)
Flash point 317.996°C (Cal.)
Market Analysis Reports
List of Reports Available for Dehydroretrorsine
Related Products
Dehydrolasiocarpine  Cholesta-3,5-dien-3-ol acetate  Bunitrolol Hydrochloride  N-[4-(4-Aminophenylsulfonylamino)Phenyl]...  (3b,20S)-20-(Dimethylamino)-Pregn-5-en-3...  (S)-Oxybutynin Hydrochloride  Girinimbine  5,5-Dimethyl-3-Heptyne  1-Pyrrolidineacetaldehyde diethyl acetal  3-Methylbenzanilide  2,2'-[(6-Anilino-1,3,5-Triazine-2,4-Diyl...  N-[2-(1H-Imidazol-5-yl)ethyl]-3-methyl-B...  1-Bromo-3-Methyl-3-Nitrobutane  (5.alpha.)-alpha-Norcholestan-2-One  Dehydroheliotrine