Online Database of Chemicals from Around the World

鸟苷酰-2'-5'-鸟苷
[CAS# 22886-44-8]

供应商
CAS#: 22886-44-8
产品: 鸟苷酰-2'-5'-鸟苷
暂时没有厂家供应该产品。
基本信息
产品名称 鸟苷酰-2'-5'-鸟苷
英文名 Guanylyl-2'-5'-Guanosine
别名 Bis[[(2R,3S,4R,5R)-5-(2-Amino-6-Oxo-3H-Purin-9-Yl)-3,4-Dihydroxy-Tetrahydrofuran-2-Yl]Methyl] Hydrogen Phosphate; Bis[[(2R,3S,4R,5R)-5-(2-Amino-6-Oxo-3H-Purin-9-Yl)-3,4-Dihydroxy-2-Tetrahydrofuranyl]Methyl] Hydrogen Phosphate; Bis[[(2R,3S,4R,5R)-5-(2-Amino-6-Keto-3H-Purin-9-Yl)-3,4-Dihydroxy-Tetrahydrofuran-2-Yl]Methyl] Hydrogen Phosphate
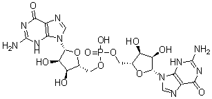
分子结构 CAS 登录号:22886-44-8, 鸟苷酰-2'-5'-鸟苷
分子式 C20H25N10O12P
分子量 628.45
CAS 登录号 22886-44-8
分子行输入简码 SMILES [C@H]1(O)[C@@H](O)[C@@H](O[C@@H]1CO[P](OC[C@H]4O[C@@H]([N]2C3=C(N=C2)C(=O)N=C(N3)N)[C@H](O)[C@@H]4O)(O)=O)[N]5C6=C(N=C5)C(=O)N=C(N6)N
国际化学标识码 InChI 1S/C20H25N10O12P/c21-19-25-13-7(15(35)27-19)23-3-29(13)17-11(33)9(31)5(41-17)1-39-43(37,38)40-2-6-10(32)12(34)18(42-6)30-4-24-8-14(30)26-20(22)28-16(8)36/h3-6,9-12,17-18,31-34H,1-2H2,(H,37,38)(H3,21,25,27,35)(H3,22,26,28,36)/t5-,6-,9-,10-,11-,12-,17-,18-/m1/s1
国际化学标识检索码 InChIKey QGUPIPHRRVWCEJ-MHARETSRSA-N
物理化学性质
密度 2.508g/cm3 (计算值)
沸点 1202.197°C at 760 mmHg (计算值)
闪点 680.864°C (计算值)
市场分析报告
请浏览鸟苷酰-2'-5'-鸟苷市场分析报告总目录
相关产品
1-[2-[(2-氨基-5-氨基甲酰氧基-3,4-...  异苯并吡喃并[4,3-c]苯并吡喃-6,11-二酮  N-[3-(二甲基氨基)丙基]辛酰胺  N-[3-(二甲基氨基)丙基]癸烷-1-酰胺  N-[3-(二甲基氨基)丙基]十二碳酰胺单乙酸盐  三甲基-3-[(1-氧代十八烷基)氨基]丙基氯化铵  2-甲基二十烷酸  2,3-二氢-5H-1,4-苯并二氧杂卓-5-酮  (4-乙酰氧基-9,10-二氧代蒽-1-基)乙酸酯  3,3-二甲基-7-氧代-6-[(2-苯基苯甲酰基...  alpha-(甲氧基甲基)-4,5-二甲基-2-硝...  2-乙基-2,4,5-三甲基-5H-1,3-噻唑  N-(4-羟基-3,5-二甲基-苯基)乙酰胺  (2'S,3'R)-2'-脱氧-2',3'-环氧-...  [3-(三氟甲基)苯基]乙酰胺