Online Database of Chemicals from Around the World

(3S)-3-乙酰基-3-甲基-4-亚甲基二氢-2(3H)-呋喃酮
[CAS# 220308-41-8]

供应商
Achemica 瑞士 询价快递  
+41 (24) 466-2929
contact@achemica.com
化学品生产商(2010 年起)
深圳爱拓化学有限公司 中国 询价快递  
+86 13417589054//+86 13424336463
info@atomaxchem.com,atomax.chemicals@gmail.com,
QQ 交流
化学品生产商
基本信息
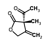
产品名称 (3S)-3-乙酰基-3-甲基-4-亚甲基二氢-2(3H)-呋喃酮
英文名 (3S)-3-Acetyl-3-Methyl-4-Methylenedihydro-2(3H)-Furanone
别名 (S)-3-acetyl-3-methyl-4-methylenedihydrofuran-2(3H)-one
分子结构 CAS 登录号:220308-41-8, (3S)-3-乙酰基-3-甲基-4-亚甲基二氢-2(3H)-呋喃酮
分子式 C8H10O3
分子量 154.16
CAS 登录号 220308-41-8
分子行输入简码 SMILES CC(=O)[C@@]1(C(=C)COC1=O)C
国际化学标识码 InChI 1S/C8H10O3/c1-5-4-11-7(10)8(5,3)6(2)9/h1,4H2,2-3H3/t8-/m0/s1
国际化学标识检索码 InChIKey YIKFPIRLKVGLQC-QMMMGPOBSA-N
物理化学性质
密度 1.114g/cm3 (计算值)
沸点 283.77°C at 760 mmHg (计算值)
闪点 124.695°C (计算值)
折射率 1.469 (计算值)
市场分析报告
请浏览(3S)-3-乙酰基-3-甲基-4-亚甲基二氢-2(3H)-呋喃酮市场分析报告总目录
相关产品
1-[(2S,3S)-2-甲氧基-3-甲基-4-亚...  2,5-二(4-氟苯基)-3,6-二苯基-1,4-...  2,6-二(4-氟苯基)-3,5-二苯基-1,4-...  2-溴-1-[(2S)-2-乙烯基-1-吡咯烷基]...  (9E)-9-十二碳烯酸  (4R,5R)-4-烯丙基-5-异丙基-1,3-恶...  乙基氧代(1H-吡唑-1-基)乙酸酯  (1R,2R,5R,6R)-三环[4.2.0.0<...  1-(2,2'-联吡啶-5-基)甲胺  3-苯基丙基 2-乙酰氨基-3,4,6-三-O-乙...  3-苯基丙基 2-乙酰氨基-2-脱氧-beta-D...  (1R,2S)-2-(4-甲氧基苯基)环丙胺  (1R,2S)-2-(4-甲基苯基)环丙胺  (1R,2S)-2-(3-甲基苯基)环丙胺  1-[(3S)-2-甲氧基-3-甲基-4-亚甲基四...