Online Database of Chemicals from Around the World

3-(三甲基铵)丙烷磺酸内盐
[CAS# 21865-17-8]

供应商
International Laboratory Limited 美国 询价快递  
+1 (650) 278-9963
admin@intlab.org
化学品生产商(2002 年起)
基本信息
产品名称 3-(三甲基铵)丙烷磺酸内盐
英文名 3-(Trimethylammonium)Propanesulfonate, Inner Salt
别名 3-Trimethylammoniopropane-1-Sulfonate; 3-(Trimethyl-.Lambda.~5~-Azanyl)-1-Propanesulfonic Acid; 1-Propanaminium, N,N,N-Trimethyl-3-Sulfo-, Hydroxide, Inner Salt (9Ci)
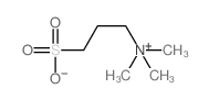
分子结构 CAS 登录号:21865-17-8, 3-(三甲基铵)丙烷磺酸内盐
分子式 C6H15NO3S
分子量 181.25
CAS 登录号 21865-17-8
分子行输入简码 SMILES C(CC[S](=O)(=O)[O-])[N+](C)(C)C
国际化学标识码 InChI 1S/C6H15NO3S/c1-7(2,3)5-4-6-11(8,9)10/h4-6H2,1-3H3
国际化学标识检索码 InChIKey WFJHXXPYPMNRPK-UHFFFAOYSA-N
市场分析报告
请浏览3-(三甲基铵)丙烷磺酸内盐市场分析报告总目录
相关产品
4-(氯甲基)-6-(4-吗啉基)-1,3,5-三...  [(2R,3R,4R,5R)-5-(4-氨基-2-...  2-羟基甲基丙烯酸 [(3aR,9abeta,9b...  2-甲基丙酸 [1a,2,6,6a,7,8,9a,...  1,1'-氧基二辛烷-2-醇  9,9-二(2-氨基甲酰乙基)芴-2,7-二磺酸二...  1,3-二溴-9H-芴  伊米帕锰  苯基新戊基亚磷酸酯  紫红孢菌素  4-脱氧紫红孢菌素  6-(氨基甲酰氨基)己基脲  4-(4-硝基苯基)-2,6-二甲基-1,4-二氢...  四硝酸碲  4-氧代戊酸异丙酯