Online Database of Chemicals from Around the World

25,26,27,28-四羟基-2,8,14,20-四硫杂五环[19.3.1.13,7.19,13.115,19]二十八碳-1(25),3(28),4,6,9(27),10,12,15(26),16,18,21,23-十二烯-5,11,17,23-四磺酸四钠
[CAS# 211561-04-5]

供应商
Alfa Chemistry 美国 询价快递  
+1 (201) 478-8534
inquiry@alfa-chemistry.com
化学品供销商(2012 年起)
chemBlink 标准供应商(2012 年起)
International Laboratory Limited 美国 询价快递  
+1 (650) 278-9963
admin@intlab.org
化学品生产商(2002 年起)
基本信息
产品分类 化学试剂 >> 有机试剂 >> 磺酸盐/亚磺酸盐
产品名称 25,26,27,28-四羟基-2,8,14,20-四硫杂五环[19.3.1.13,7.19,13.115,19]二十八碳-1(25),3(28),4,6,9(27),10,12,15(26),16,18,21,23-十二烯-5,11,17,23-四磺酸四钠
英文名 Tetrasodium 25,26,27,28-Tetrahydroxy-2,8,14,20-Tetrathiapentacyclo[19.3.1.13,7.19,13.115,19]Octacosa-1(25),3(28),4,6,9(27),10,12,15(26),16,18,21,23-Dodecaene-5,11,17,23-Tetrasulfonate
别名 4-Sulfothiacalix[4]arene Sodium Salt
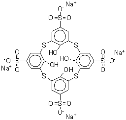
分子结构 CAS 登录号:211561-04-5, 25,26,27,28-四羟基-2,8,14,20-四硫杂五环[19.3.1.1<sup>3,7</sup>.1<sup>9,13</sup>.1<sup>15,19</sup>]二十八碳-1(25),3(28),4,6,9(27),10,12,15(26),16,18,21,23-十二烯-5,11,17,23-四磺酸四钠
分子式 C24H12Na4O16S8
分子量 904.82
CAS 登录号 211561-04-5
分子行输入简码 SMILES [Na+].[Na+].[Na+].[Na+].[O-]S(=O)(=O)c1cc2Sc5cc(cc(Sc4c(O)c(Sc3c(O)c(Sc(c1)c2O)cc(c3)S([O-])(=O)=O)cc(c4)S([O-])(=O)=O)c5O)S([O-])(=O)=O
国际化学标识码 InChI 1S/C24H16O16S8.4Na/c25-21-13-1-9(45(29,30)31)2-14(21)42-17-5-11(47(35,36)37)6-18(23(17)27)44-20-8-12(48(38,39)40)7-19(24(20)28)43-16-4-10(46(32,33)34)3-15(41-13)22(16)26;;;;/h1-8,25-28H,(H,29,30,31)(H,32,33,34)(H,35,36,37)(H,38,39,40);;;;/q;4*+1/p-4
国际化学标识检索码 InChIKey LWAHXJLVBWBJLL-UHFFFAOYSA-J
物理化学性质
熔点 390°C (实验值)
折射率 (计算值)
安全数据
SDS 化学品安全技术说明书参考文本
市场分析报告
请浏览25,26,27,28-四羟基-2,8,14,20-四硫杂五环[19.3.1.13,7.19,13.115,19]二十八碳-1(25),3(28),4,6,9(27),10,12,15(26),16,18,21,23-十二烯-5,11,17,23-四磺酸四钠市场分析报告总目录
相关产品
(4S)-6-氯-4-(环丙基乙炔基)-2-氧代-...  (1R,2S,4R,5S)-2,4-二氟-8-氧杂...  (1R,2S,4R,5S)-2,4-二氟双环[3....  3-(羧基氨基)-2-噻吩羧酸  5-乙基-2-呋喃甲酰肼  (3-甲酰基-5-硝基-2-噻吩基)硼酸  4-(3-氮杂环丁基)硫代吗啉1,1-二氧化物  3-氨基-5-(甲基氨基)异烟腈  1-[(1R,3R)-3-羟基环戊基]乙酮  4-氯-alpha-甲基-L-苯丙氨酸乙酯  1,4-二氮杂环庚-1,4-二胺  N-(氰基甲基)-4-乙水杨胺  N,N'-2,3-哌嗪二基二甲酰胺  2-氟乙基环丁烷羧酸酯  (2S)-6,6-二甲基-1,5-二氮杂双环[3....