Identification
| Classification |
Biochemical >> Amino acids and their derivatives >> Amino alcohol derivative |
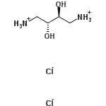
| Name |
(2R,3S)-2,3-Dihydroxy-1,4-Butanediaminium Dichloride |
| Synonyms |
meso-1,4-Diamino-2,3-butanediol dihydrochloride; 72284_FLUKA |
|
| Molecular Structure |
 |
| Molecular Formula |
C4H14Cl2N2O2 |
| Molecular Weight |
193.07 |
| CAS Registry Number |
20182-71-2 |
| SMILES |
[Cl-].[Cl-].O[C@H](C[NH3+])[C@@H](O)C[NH3+] |
| InChI |
1S/C4H12N2O2.2ClH/c5-1-3(7)4(8)2-6;;/h3-4,7-8H,1-2,5-6H2;2*1H/t3-,4+;; |
| InChIKey |
DUPMJOBILZRZTB-NDXJVULZSA-N |
|