Online Database of Chemicals from Around the World

(2S)-6-(2,4-二硝基苯胺基)-2-[[(2S)-1-[(2S)-2-[[(2S)-4-羟基-2-[[(2S)-2-[[(2S)-2-[[(2S)-3-(4-羟基苯基)-2-[[2-(7-甲氧基-2-氧代-苯并吡喃-4-基)乙酰基]氨基]丙酰]氨基]-3-甲基-丁酰基]氨基]丙酰]氨基]-4-氧代-丁酰基]氨基]丙酰]吡咯烷-2-羰基]氨基]己酸
[CAS# 189696-01-3]

供应商
Alfa Chemistry 美国 询价快递  
+1 (201) 478-8534
inquiry@alfa-chemistry.com
化学品供销商(2012 年起)
chemBlink 标准供应商(2012 年起)
Creative Peptides 美国 询价快递  
+1 (631) 624-4882
info@creative-peptides.com
化学品生产商
chemBlink 集群供应商(2016 年起)
International Laboratory Limited 美国 询价快递  
+1 (650) 278-9963
admin@intlab.org
化学品生产商(2002 年起)
基本信息
产品名称 (2S)-6-(2,4-二硝基苯胺基)-2-[[(2S)-1-[(2S)-2-[[(2S)-4-羟基-2-[[(2S)-2-[[(2S)-2-[[(2S)-3-(4-羟基苯基)-2-[[2-(7-甲氧基-2-氧代-苯并吡喃-4-基)乙酰基]氨基]丙酰]氨基]-3-甲基-丁酰基]氨基]丙酰]氨基]-4-氧代-丁酰基]氨基]丙酰]吡咯烷-2-羰基]氨基]己酸
英文名 (2S)-6-(2,4-Dinitroanilino)-2-[[(2S)-1-[(2S)-2-[[(2S)-4-Hydroxy-2-[[(2S)-2-[[(2S)-2-[[(2S)-3-(4-Hydroxyphenyl)-2-[[2-(7-Methoxy-2-Oxo-Chromen-4-Yl)Acetyl]Amino]Propanoyl]Amino]-3-Methyl-Butanoyl]Amino]Propanoyl]Amino]-4-Oxo-Butanoyl]Amino]Propanoyl]Pyrrolidine-2-Carbonyl]Amino]Hexanoic Acid
别名 Caspase-1 Substrate (Mca)
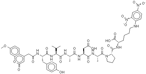
分子结构 CAS 登录号:189696-01-3, (2S)-6-(2,4-二硝基苯胺基)-2-[[(2S)-1-[(2S)-2-[[(2S)-4-羟基-2-[[(2S)-2-[[(2S)-2-[[(2S)-3-(4-羟基苯基)-2-[[2-(7-甲氧基-2-氧代-苯并吡喃-4-基)乙酰基]氨基]丙酰]氨基]-3-甲基-丁酰基]氨基]丙酰]氨基]-4-氧代-丁酰基]氨基]丙酰]吡咯烷-2-羰基]氨基]己酸
分子式 C53H64N10O19
分子量 1145.13
CAS 登录号 189696-01-3
分子行输入简码 SMILES C[C@@H](C(=O)N[C@@H](CC(=O)O)C(=O)N[C@@H](C)C(=O)N1CCC[C@H]1C(=O)N[C@@H](CCCCNc2ccc(cc2[N+](=O)[O-])[N+](=O)[O-])C(=O)O)NC(=O)[C@H](C(C)C)NC(=O)[C@H](Cc3ccc(cc3)O)NC(=O)Cc4cc(=O)oc5c4ccc(c5)OC
国际化学标识码 InChI 1S/C53H64N10O19/c1-27(2)46(60-49(71)38(21-30-11-14-33(64)15-12-30)57-43(65)22-31-23-45(68)82-42-25-34(81-5)16-17-35(31)42)51(73)55-28(3)47(69)59-39(26-44(66)67)48(70)56-29(4)52(74)61-20-8-10-40(61)50(72)58-37(53(75)76)9-6-7-19-54-36-18-13-32(62(77)78)24-41(36)63(79)80/h11-18,23-25,27-29,37-40,46,54,64H,6-10,19-22,26H2,1-5H3,(H,55,73)(H,56,70)(H,57,65)(H,58,72)(H,59,69)(H,60,71)(H,66,67)(H,75,76)/t28-,29-,37-,38-,39-,40-,46-/m0/s1
国际化学标识检索码 InChIKey XLXKHBNLWUCNOC-XUFBPUFYSA-N
物理化学性质
密度 1.407g/cm3 (计算值)
沸点 1507.19°C at 760 mmHg (计算值)
闪点 865.317°C (计算值)
折射率 1.616 (计算值)
安全数据
SDS 化学品安全技术说明书参考文本
市场分析报告
请浏览(2S)-6-(2,4-二硝基苯胺基)-2-[[(2S)-1-[(2S)-2-[[(2S)-4-羟基-2-[[(2S)-2-[[(2S)-2-[[(2S)-3-(4-羟基苯基)-2-[[2-(7-甲氧基-2-氧代-苯并吡喃-4-基)乙酰基]氨基]丙酰]氨基]-3-甲基-丁酰基]氨基]丙酰]氨基]-4-氧代-丁酰基]氨基]丙酰]吡咯烷-2-羰基]氨基]己酸市场分析报告总目录
相关产品
(2S)-6-(2,4-二硝基苯胺基)-2-[[(...  1-异氰基戊烷  2-甲基-5-[(4-苯基-3,6-二氢-1(2H...  5-(氯甲基)-2-甲基-4-嘧啶胺  1,3-二氨基噻吩并[3,4-c]吡啶-5(3H)...  2,6-二甲氧基-4-甲基-8-硝基-5-[3-(...  5-氯-2,6-二甲氧基-4-甲基-8-硝基喹啉  4-乙氧基-2,3-二氟苯胺  1-(2-氨基乙基)-5-甲基-1,3-二氢-2H...  2-氟-1-甲氧基-4-[(E)-2-硝基乙烯基]...  3-[(17-{(4E)-10-[(二氨基亚甲基)...  3-氯-2-(4-甲基-1-哌嗪基)苯胺  6-氧代-3-哌啶甲酰胺  (2E,6E)-2,6-二(3,4-二甲氧基苄亚基...  1-(1-异丙基-1H-吡唑-4-基)乙醇