基本信息
| 产品名称 |
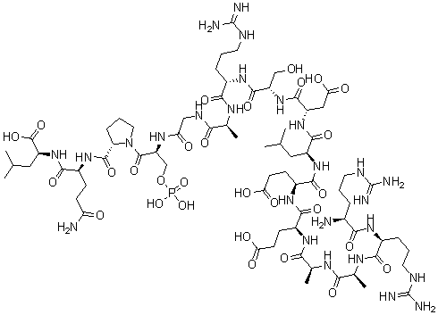
L-精氨酰-L-精氨酰-L-丙氨酰-L-丙氨酰-L-alpha-谷氨酰-L-alpha-谷氨酰-L-亮氨酰-L-alpha-天冬氨酰-L-丝氨酰-L-精氨酰-L-丙氨酰甘氨酰-O-膦酰-L-丝氨酰-L-脯氨酰-L-谷氨酰胺酰-L-亮氨酸 |
| 英文名 |
L-Arginyl-L-Arginyl-L-Alanyl-L-Alanyl-L-alpha-Glutamyl-L-alpha-Glutamyl-L-Leucyl-L-alpha-Aspartyl-L-Seryl-L-Arginyl-L-Alanylglycyl-O-Phosphono-L-Seryl-L-Prolyl-L-Glutaminyl-L-Leucine |
| 别名 |
M.W. 1835.88 C71H123N26O29P; 2B-(SP) |
|
| 分子结构 |
 |
| 分子式 |
C71H123N26O29P |
| 分子量 |
1835.87 |
| CAS 登录号 |
186901-17-7 |
| 分子行输入简码 SMILES |
OC[C@@H](C(=O)N[C@H](C(=O)N[C@H](C(=O)NCC(=O)N[C@H](C(=O)N1CCC[C@H]1C(=O)N[C@H](C(=O)N[C@H](C(=O)O)CC(C)C)CCC(=O)N)COP(=O)(O)O)C)CCCNC(=N)N)NC(=O)[C@@H](NC(=O)[C@@H](NC(=O)[C@@H](NC(=O)[C@@H](NC(=O)[C |
| 国际化学标识码 InChI |
1S/C71H123N26O29P/c1-32(2)26-43(93-61(114)42(18-21-52(103)104)91-60(113)41(17-20-51(101)102)88-56(109)36(7)84-55(108)35(6)86-58(111)38(13-9-23-81-70(76)77)89-57(110)37(72)12-8-22-80-69(74)75)63( |
|