Online Database of Chemicals from Around the World

N-乙酰基软骨胶素
[CAS# 18341-92-9]

供应商
CAS#: 18341-92-9
产品: N-乙酰基软骨胶素
暂时没有厂家供应该产品。
基本信息
产品名称 N-乙酰基软骨胶素
英文名 N-Acetylchondrosine
别名 (2S,3S,4S,5R,6R)-6-[(3R,4R,5R,6R)-3-Acetamido-2,5-Dihydroxy-6-(Hydroxymethyl)Tetrahydropyran-4-Yl]Oxy-3,4,5-Trihydroxy-Tetrahydropyran-2-Carboxylic Acid; (2S,3S,4S,5R,6R)-6-[[(3R,4R,5R,6R)-3-Acetamido-2,5-Dihydroxy-6-(Hydroxymethyl)-4-Tetrahydropyranyl]Oxy]-3,4,5-Trihydroxy-2-Tetrahydropyrancarboxylic Acid; (2S,3S,4S,5R,6R)-6-[(3R,4R,5R,6R)-3-Acetamido-2,5-Dihydroxy-6-Methylol-Tetrahydropyran-4-Yl]Oxy-3,4,5-Trihydroxy-Tetrahydropyran-2-Carboxylic Acid
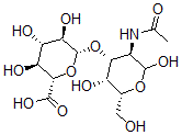
分子结构 CAS 登录号:18341-92-9, N-乙酰基软骨胶素
分子式 C14H23NO12
分子量 397.34
CAS 登录号 18341-92-9
分子行输入简码 SMILES [C@@H]2(O[C@@H]1O[C@@H]([C@@H](O)[C@H](O)[C@H]1O)C(=O)O)[C@@H](NC(=O)C)C(O[C@@H]([C@@H]2O)CO)O
国际化学标识码 InChI 1S/C14H23NO12/c1-3(17)15-5-10(6(18)4(2-16)25-13(5)24)26-14-9(21)7(19)8(20)11(27-14)12(22)23/h4-11,13-14,16,18-21,24H,2H2,1H3,(H,15,17)(H,22,23)/t4-,5-,6+,7+,8+,9-,10-,11+,13?,14-/m1/s1
国际化学标识检索码 InChIKey LJORHONFMDUUHP-XQLAHFFZSA-N
物理化学性质
密度 1.728g/cm3 (计算值)
沸点 855.733°C at 760 mmHg (计算值)
闪点 471.331°C (计算值)
市场分析报告
请浏览N-乙酰基软骨胶素市场分析报告总目录
相关产品
6-氯-4-甲基-2H-哒嗪-3-酮  乙酸铁  2,4-二氯-6-乙氧基-1,3,5-三嗪  2,6,10,14-四甲基十七烷  4-羟基视黄醛  4-(2,4-二硝基苯基)-氨基甲酰肼  7-甲基-7H-嘌呤  O-(2,4-二氯苯基)-O-乙基氯硫代磷酸酯  3-(4',4'-二甲基-3'-氧代恶唑烷-2'-...  3-氯-2,5,6-三甲基苯甲酸  2-氯-3,5,6-三甲基苯甲酸  3,5-二异丙基-2,6-二甲基苯甲酸  1-(乙酰氧基)-4,5,6,7-四氯-1H-苯并...  4-甲基DL-天冬氨酸氢酯  6,6'-(4,4'-联苯亚基二(羰基亚氨基))二...