Online Database of Chemicals from Around the World

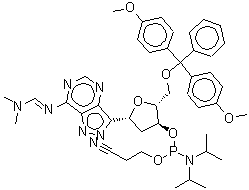
(1R)-1,4-脱水-5-O-[二(4-甲氧基苯基)(苯基)甲基]-3-O-[(2-氰基乙氧基)(二异丙基氨基)膦基]-2-脱氧-1-(7-{(E)-[(二甲基氨基)亚甲基]氨基}-2H-吡唑并[4,3-d]嘧啶-3-基)-D-赤式-戊糖醇
[CAS# 178925-41-2]

供应商
Alfa Chemistry 美国 询价快递  
+1 (201) 478-8534
inquiry@alfa-chemistry.com
化学品供销商(2012 年起)
chemBlink 标准供应商(2012 年起)
Biosynth AG. 瑞士 询价快递  
+41 (71) 858-2020
welcome@biosynth.ch
化学品生产商
Glentham Life Sciences 英国 询价快递  
+44 (2033) 978-798
info@glenthamls.com
化学品供销商(2013 年起)
International Laboratory Limited 美国 询价快递  
+1 (650) 278-9963
admin@intlab.org
化学品生产商(2002 年起)
基本信息
产品名称 (1R)-1,4-脱水-5-O-[二(4-甲氧基苯基)(苯基)甲基]-3-O-[(2-氰基乙氧基)(二异丙基氨基)膦基]-2-脱氧-1-(7-{(E)-[(二甲基氨基)亚甲基]氨基}-2H-吡唑并[4,3-d]嘧啶-3-基)-D-赤式-戊糖醇
英文名 (1R)-1,4-Anhydro-5-O-[bis(4-methoxyphenyl)(phenyl)methyl]-3-O-[(2-cyanoethoxy)(diisopropylamino)phosphino]-2-deoxy-1-(7-{(E)-[(dimethylamino)methylene]amino}-2H-pyrazolo[4,3-d]pyrimidin-3-yl)-D-erythro-pentitol
别名 2-(Dimethylaminomethylidene)amino-9-(2-deoxy-b-D-ribofuranosyl)purine 3'-CE phosphoramidite
分子结构 CAS 登录号:178925-41-2, (1R)-1,4-脱水-5-O-[二(4-甲氧基苯基)(苯基)甲基]-3-O-[(2-氰基乙氧基)(二异丙基氨基)膦基]-2-脱氧-1-(7-{(E)-[(二甲基氨基)亚甲基]氨基}-2H-吡唑并[4,3-d]嘧啶-3-基)-D-赤式-戊糖醇
分子式 C43H53N8O6P
分子量 808.90
CAS 登录号 178925-41-2
分子行输入简码 SMILES N#CCCOP(O[C@H]4C[C@@H](O[C@@H]4COC(c1ccc(OC)cc1)(c2ccccc2)c3ccc(OC)cc3)c5c6ncnc(/N=C/N(C)C)c6nn5)N(C(C)C)C(C)C
国际化学标识码 InChI 1S/C43H53N8O6P/c1-29(2)51(30(3)4)58(55-24-12-23-44)57-36-25-37(39-40-41(49-48-39)42(46-27-45-40)47-28-50(5)6)56-38(36)26-54-43(31-13-10-9-11-14-31,32-15-19-34(52-7)20-16-32)33-17-21-35(53-8)22-18-33/h9-11,13-22,27-30,36-38H,12,24-26H2,1-8H3,(H,48,49)/b47-28+/t36-,37+,38+,58?/m0/s1
国际化学标识检索码 InChIKey LHOYFIRBNASJKY-MVNRDPLJSA-N
物理化学性质
折射率 (计算值)
市场分析报告
请浏览(1R)-1,4-脱水-5-O-[二(4-甲氧基苯基)(苯基)甲基]-3-O-[(2-氰基乙氧基)(二异丙基氨基)膦基]-2-脱氧-1-(7-{(E)-[(二甲基氨基)亚甲基]氨基}-2H-吡唑并[4,3-d]嘧啶-3-基)-D-赤式-戊糖醇市场分析报告总目录
相关产品
(3Z)-3-(羟基亚胺)-1-苯并呋喃-2(3H...  氰基甲基6-甲基-2-(甲基氨基)烟酸酯  6-亚甲基-3,6-二氢-1(2H)-吡啶甲醛  1-[(Z)-甲氧基-氧偶氮基]哌嗪  (1R,3S,4R)-3-氨基-1,4-二羟基-5...  三钠2-[(2-{[(1S)-1-羧基-2-羧基乙...  氯-[2-(氯汞基)-4,5-二十二烷氧基-3,6...  3-异丙基苯硫醇  甲基(4S)-4-羟基-D-脯氨酸酯  (3R,4R,5R,6R)-氮杂环庚烷-3,4,5...  4-氟-1-甲氧基-2-(2-甲基-2-丙烯-1-...  1-异丙基-4-(氨基磺酰基氨基)苯  {4-[(3,5-二氯苯基)亚磺酰]-5-异丙基-...  {5-[(3,5-二氯苯基)硫基]-4-异丙基-1...  7-乙氧基-1H-喹啉-4-硫酮