Online Database of Chemicals from Around the World

尿苷二磷酸酯半乳糖胺
[CAS# 17479-06-0]

供应商
Achemica 瑞士 询价快递  
+41 (24) 466-2929
contact@achemica.com
化学品生产商(2010 年起)
基本信息
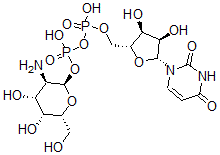
产品名称 尿苷二磷酸酯半乳糖胺
英文名 Uridine Diphosphate Galactosamine
别名 [(2R,3R,4R,5R,6R)-3-Amino-4,5-Dihydroxy-6-(Hydroxymethyl)Tetrahydropyran-2-Yl] [[(2R,3S,4R,5R)-5-(2,4-Dioxopyrimidin-1-Yl)-3,4-Dihydroxy-Tetrahydrofuran-2-Yl]Methoxy-Hydroxy-Phosphoryl] Hydrogen Phosphate; [(2R,3R,4R,5R,6R)-3-Amino-4,5-Dihydroxy-6-(Hydroxymethyl)-2-Tetrahydropyranyl] [[(2R,3S,4R,5R)-5-(2,4-Dioxo-1-Pyrimidinyl)-3,4-Dihydroxy-2-Tetrahydrofuranyl]Methoxy-Hydroxyphosphoryl] Hydrogen Phosphate; [(2R,3R,4R,5R,6R)-3-Amino-4,5-Dihydroxy-6-Methylol-Tetrahydropyran-2-Yl] [[(2R,3S,4R,5R)-5-(2,4-Diketopyrimidin-1-Yl)-3,4-Dihydroxy-Tetrahydrofuran-2-Yl]Methoxy-Hydroxy-Phosphoryl] Hydrogen Phosphate
分子结构 CAS 登录号:17479-06-0, 尿苷二磷酸酯半乳糖胺
分子式 C15H25N3O16P2
分子量 565.32
CAS 登录号 17479-06-0
分子行输入简码 SMILES [C@H]1(O[C@@H]([C@@H](O)[C@H]1O)CO[P](O[P](O[C@H]2O[C@@H]([C@H](O)[C@H](O)[C@H]2N)CO)(=O)O)(=O)O)N3C(=O)NC(=O)C=C3
国际化学标识码 InChI 1S/C15H25N3O16P2/c16-8-11(23)9(21)5(3-19)32-14(8)33-36(28,29)34-35(26,27)30-4-6-10(22)12(24)13(31-6)18-2-1-7(20)17-15(18)25/h1-2,5-6,8-14,19,21-24H,3-4,16H2,(H,26,27)(H,28,29)(H,17,20,25)/t5-,6-,8-,9+,10-,11-,12-,13-,14-/m1/s1
国际化学标识检索码 InChIKey CYKLRRKFBPBYEI-KBQKSTHMSA-N
物理化学性质
密度 1.933g/cm3 (计算值)
市场分析报告
请浏览尿苷二磷酸酯半乳糖胺市场分析报告总目录
相关产品
3-(1,1-二甲基-2-吡咯烷-1-鎓基)吡啶  2,6-二氧杂螺[3.3]庚烷  2',3',5'-三-O-苯甲酰基尿苷  2-[(2R)-1-羟基丁-3-烯-2-基]异吲哚...  3-氯-1-丙硫醇  5,6-二氢-4H-1,3-二噻英-2-硫酮  1-氯-2,4-二-甲烷磺酰基-苯  3-丁烯基对甲苯基砜  穗花杉双黄酮六乙酸酯  5-叔-丁基间甲基苯甲酸  托西曲喹铵  芴甲氧羰基-DL-2-氨基丁酸  Hovenidulcioside B1  Hovenidulcioside B2  N,1-二苯基乙烷亚胺