Online Database of Chemicals from Around the World

2-异丙基-3-硝基四氢-2H-吡喃
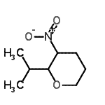
[CAS# 174151-01-0]

供应商
深圳爱拓化学有限公司 中国 询价快递  
+86 13417589054//+86 13424336463
info@atomaxchem.com,atomax.chemicals@gmail.com,
QQ 交流
化学品生产商
基本信息
产品名称 2-异丙基-3-硝基四氢-2H-吡喃
英文名 2-Isopropyl-3-Nitrotetrahydro-2H-Pyran
别名 2-isopropyl-3-nitrotetrahydro-2H-pyran
分子结构 CAS 登录号:174151-01-0, 2-异丙基-3-硝基四氢-2H-吡喃
分子式 C8H15NO3
分子量 173.21
CAS 登录号 174151-01-0
分子行输入简码 SMILES CC(C)C1C(CCCO1)[N+](=O)[O-]
国际化学标识码 InChI 1S/C8H15NO3/c1-6(2)8-7(9(10)11)4-3-5-12-8/h6-8H,3-5H2,1-2H3
国际化学标识检索码 InChIKey FELOWKSOCBFVBF-UHFFFAOYSA-N
物理化学性质
密度 1.064g/cm3 (计算值)
沸点 256.613°C at 760 mmHg (计算值)
闪点 109.303°C (计算值)
折射率 1.462 (计算值)
市场分析报告
请浏览2-异丙基-3-硝基四氢-2H-吡喃市场分析报告总目录
相关产品
1,5-二甲基吡咯-2-甲酰胺  5-氨基-4-丁基-1,2-恶唑-3(2H)-酮  异丙基(2R)-2-乙酰氨基丁酸酯  甲基2-羟基-3-甲基丁酸酯  1-{4-[(1E)-1-丙烯-1-基]苯基}乙酮  (1S)-5-甲氧基-2,3-二(亚甲基)双环[2...  (1S)-5-甲氧基-2,3-二(亚甲基)双环[2...  N-(P-甲苯基)十二烷-1-磺酰胺  乙基4-羟基-5-甲基噻吩并[2,3-d]嘧啶-6...  2-氟-N-(4-甲氧基苯基)苯胺  3-甲基-1H-吡唑并[3,4-b]吡啶  5-氯-1,3-噻唑-2-磺酰胺  1-(1,3-噻唑-2-基甲基)环丙醇  1-(异丁基硫基)丁烷  6,7,8,9-四氢二苯并[b,d]呋喃-4-胺