Online Database of Chemicals from Around the World

Nonanoyl-Coenzyme A
[CAS# 17331-98-5]

Suppliers
CAS#: 17331-98-5
Product: Nonanoyl-Coenzyme A
No suppilers available for the product.
Identification
Name Nonanoyl-Coenzyme A
Synonyms S-[2-[3-[[(2R)-4-[[[(2R,3S,4R,5R)-5-(6-Aminopurin-9-Yl)-4-Hydroxy-3-Phosphonooxy-Tetrahydrofuran-2-Yl]Methoxy-Hydroxy-Phosphoryl]Oxy-Hydroxy-Phosphoryl]Oxy-2-Hydroxy-3,3-Dimethyl-Butanoyl]Amino]Propanoylamino]Ethyl] Nonanethioate; Nonanethioic Acid S-[2-[[3-[[(2R)-4-[[[(2R,3S,4R,5R)-5-(6-Amino-9-Purinyl)-4-Hydroxy-3-Phosphonooxy-2-Tetrahydrofuranyl]Methoxy-Hydroxyphosphoryl]Oxy-Hydroxyphosphoryl]Oxy-2-Hydroxy-3,3-Dimethyl-1-Oxobutyl]Amino]-1-Oxopropyl]Amino]Ethyl] Ester; Nonanethioic Acid S-[2-[3-[[(2R)-4-[[[(2R,3S,4R,5R)-5-(6-Aminopurin-9-Yl)-4-Hydroxy-3-Phosphonooxy-Tetrahydrofuran-2-Yl]Methoxy-Hydroxy-Phosphoryl]Oxy-Hydroxy-Phosphoryl]Oxy-2-Hydroxy-3,3-Dimethyl-Butanoyl]Amino]Propanoylamino]Ethyl] Ester
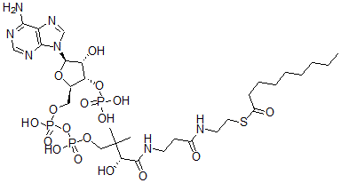
Molecular Structure CAS#: 17331-98-5, Nonanoyl-Coenzyme A
Molecular Formula C30H52N7O17P3S
Molecular Weight 907.76
CAS Registry Number 17331-98-5
SMILES [C@H]1(O[C@@H]([C@@H](O[P](=O)(O)O)[C@H]1O)CO[P](O[P](OCC([C@@H](O)C(=O)NCCC(=O)NCCSC(=O)CCCCCCCC)(C)C)(=O)O)(=O)O)[N]2C3=C(N=C2)C(=NC=N3)N
InChI 1S/C30H52N7O17P3S/c1-4-5-6-7-8-9-10-21(39)58-14-13-32-20(38)11-12-33-28(42)25(41)30(2,3)16-51-57(48,49)54-56(46,47)50-15-19-24(53-55(43,44)45)23(40)29(52-19)37-18-36-22-26(31)34-17-35-27(22)37/h17-19,23-25,29,40-41H,4-16H2,1-3H3,(H,32,38)(H,33,42)(H,46,47)(H,48,49)(H2,31,34,35)(H2,43,44,45)/t19-,23-,24-,25+,29-/m1/s1
InChIKey WLDUTYVSAGSKIV-FUEUKBNZSA-N
Properties
Density 1.689g/cm3 (Cal.)
Market Analysis Reports
List of Reports Available for Nonanoyl-Coenzyme A
Related Products
Guanylyl-(3'-5')-3'-guanylic acid  2-[2-[2-[2-[(2-Bromoacetyl)Amino]Ethoxy]...  1-(3,4-Diethoxybenzyl)-6,7-Diethoxyisoqu...  N-(2,3-Dimethylphenyl)Phthalamidic Acid  N-Pyrimidinobenzamide-2-Carboxylic Acid  Isoprednidene  (3S)-5-Oxo-1-[(1S)-1-Phenylethyl]Pyrroli...  (+)-Calarene  3-Methyl-4-Phenylisoxazolo[3,4-d]Pyridaz...  4-Benzoyl-5-Methyl-3-Isoxazolecarboxylic...  Benzophenone 2,4-Dinitrophenyl Hydrazone  1,2,2-Triphenylethanone  1-Propiophenone Tosylhydrazone  N,N,N',N'-Tetramethyl-1-Butene-1,3-Diami...  3,4-Dimethyl-2(1H)-Quinolinone