Online Database of Chemicals from Around the World

((Cys31,Nva34)-神经肽Y(27-36))2
[CAS# 172997-92-1]

供应商
Creative Peptides 美国 询价快递  
+1 (631) 624-4882
info@creative-peptides.com
化学品生产商
chemBlink 集群供应商(2016 年起)
International Laboratory Limited 美国 询价快递  
+1 (650) 278-9963
admin@intlab.org
化学品生产商(2002 年起)
Tocris Bioscience Inc. 美国 询价快递  
+1 (636) 207-7651
marketing@tocrisusa.com
化学品生产商(1982 年起)
基本信息
产品名称 ((Cys31,Nva34)-神经肽Y(27-36))2
英文名 ((Cys31,Nva34)-Neuropeptide Y (27-36))2
别名 Bis(31/31')[Cys31, Nva34]NPY(27-36)-NH2}; Bis(31/31')[Cys31, Nva34]NPY(27-36)-NH2} |
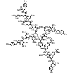
分子结构 CAS 登录号:172997-92-1, ((Cys31,Nva34)-神经肽Y(27-36))2
分子式 C116H184N36O28S2
分子量 2597.07
CAS 登录号 172997-92-1
分子行输入简码 SMILES CCC[C@@H](C(=O)N[C@@H](CCCNC(=N)N)C(=O)N[C@@H](CC1=CC=C(C=C1)O)C(=O)N)NC(=O)[C@H](CCCNC(=N)N)NC(=O)[C@H]([C@@H](C)O)NC(=O)[C@H](CSSC[C@@H](C(=O)N[C@@H]([C@@H](C)O)C(=O)N[C@@H](CCCNC(=N)N)C(=O)N[C@@H](CCC)C(=O)N[C@@H](CCCNC(=N)N)C(=O)N[C@@H](CC2=CC=C(C=C2)O)C(=O)N)NC(=O)[C@H](CC(C)C)NC(=O)[C@H](CC(=O)N)NC(=O)[C@H]([C@@H](C)CC)NC(=O)[C@H](CC3=CC=C(C=C3)O)N)NC(=O)[C@H](CC(C)C)NC(=O)[C@H](CC(=O)N)NC(=O)[C@H]([C@@H](C)CC)NC(=O)[C@H](CC4=CC=C(C=C4)O)N
国际化学标识码 InChI 1S/C116H186N36O28S2/c1-13-21-73(97(165)137-75(23-17-43-131-113(123)124)101(169)141-79(93(121)161)51-65-31-39-69(157)40-32-65)135-99(167)77(25-19-45-133-115(127)128)139-111(179)91(61(11)153)151-107(175)85(147-103(171)81(47-57(5)6)143-105(173)83(53-87(119)159)145-109(177)89(59(9)15-3)149-95(163)71(117)49-63-27-35-67(155)36-28-63)55-181-182-56-86(148-104(172)82(48-58(7)8)144-106(174)84(54-88(120)160)146-110(178)90(60(10)16-4)150-96(164)72(118)50-64-29-37-68(156)38-30-64)108(176)152-92(62(12)154)112(180)140-78(26-20-46-134-116(129)130)100(168)136-74(22-14-2)98(166)138-76(24-18-44-132-114(125)126)102(170)142-80(94(122)162)52-66-33-41-70(158)42-34-66/h27-42,57-62,71-86,89-92,153-158H,13-26,43-56,117-118H2,1-12H3,(H2,119,159)(H2,120,160)(H2,121,161)(H2,122,162)(H,135,167)(H,136,168)(H,137,165)(H,138,166)(H,139,179)(H,140,180)(H,141,169)(H,142,170)(H,143,173)(H,144,174)(H,145,177)(H,146,178)(H,147,171)(H,148,172)(H,149,163)(H,150,164)(H,151,175)(H,152,176)(H4,123,124,131)(H4,125,126,132)(H4,127,128,133)(H4,129,130,134)/t59-,60-,61+,62+,71-,72-,73-,74-,75-,76-,77-,78-,79-,80-,81-,82-,83-,84-,85-,86-,89-,90-,91-,92-/m0/s1
国际化学标识检索码 InChIKey NCCWKDKNIQUYAI-JULUKTQUSA-N
物理化学性质
密度 1.5±0.1g/cm3 (计算值)
折射率 1.667 (计算值)
溶解度 Soluble to 10 mg/ml in water
市场分析报告
请浏览((Cys31,Nva34)-神经肽Y(27-36))2市场分析报告总目录
相关产品
1,2-二溴-3,4,5-三氟苯  1,2-亚苯基二甲胺  乙基(2S,5R)-1-氮杂双环[3.1.0]己烷...  (1S,2R,5S)-2-异丙基-5-甲基环己烷硫...  (4S)-2,2-二甲基-1,3-二氧戊环-4-甲...  2,7-二甲基十一烷  2,8-二甲基十一烷  3,7-二甲基十一烷  4,7-二甲基十一烷  3-乙基壬烷  (4E)-4,5,6,6,6-五氟-1,4-己二烯  (1Z)-1-氯-1,2-二氟-1,4-戊二烯  6-甲基十一烷  (1Z)-1-溴-1,2-二氟-1,4-戊二烯  4-氰基-1,2,5-恶二唑-3-亚胺代甲酰肼5-...