基本信息
| 产品名称 |
钛(4+)1-丁醇(2Z)-4-氧代-2-戊烯-2-醇(1:2:2) |
| 英文名 |
Titanium(4+) 1-Butanolate (2Z)-4-Oxo-2-Penten-2-Olate (1:2:2) |
| 别名 |
Titan(4+)butan-1-olat-(2Z)-4-oxopent-2-en-2-olat(1:2:2); TITANIUM DI-n-BUTOXIDE (BIS-2,4-PENTANEDIONATE) |
|
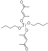
| 分子结构 |
 |
| 分子式 |
C18H32O6Ti |
| 分子量 |
392.31 |
| CAS 登录号 |
16902-59-3 |
| EINECS 登录号 |
240-947-9 |
| 分子行输入简码 SMILES |
CCCCO[Ti](OCCCC)(OC(=CC(=O)C)C)OC(=CC(=O)C)C |
| 国际化学标识码 InChI |
1S/2C5H8O2.2C4H9O.Ti/c2*1-4(6)3-5(2)7;2*1-2-3-4-5;/h2*3,6H,1-2H3;2*2-4H2,1H3;/q;;2*-1;+4/p-2/b2*4-3-;;; |
| 国际化学标识检索码 InChIKey |
SNGBJBMVMHFZON-VGKOASNMSA-L |
|