Online Database of Chemicals from Around the World

(2-羟基-1,1,2-三甲基-丙氧基)-(3-三甲基硅烷基丙基)硼酸
[CAS# 165904-32-5]

供应商
International Laboratory Limited 美国 询价快递  
+1 (650) 278-9963
admin@intlab.org
化学品生产商(2002 年起)
基本信息
产品名称 (2-羟基-1,1,2-三甲基-丙氧基)-(3-三甲基硅烷基丙基)硼酸
英文名 (2-Hydroxy-1,1,2-Trimethyl-Propoxy)-(3-Trimethylsilylpropyl)Borinic Acid
别名 3-Trimethylsilyl-1-propylboronic acid pinacol ester
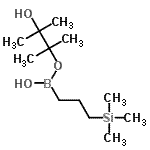
分子结构 CAS 登录号:165904-32-5, (2-羟基-1,1,2-三甲基-丙氧基)-(3-三甲基硅烷基丙基)硼酸
分子式 C12H29BO3Si
分子量 260.25
CAS 登录号 165904-32-5
分子行输入简码 SMILES B(CCC[Si](C)(C)C)(O)OC(C)(C)C(C)(C)O
国际化学标识码 InChI 1S/C12H29BO3Si/c1-11(2,14)12(3,4)16-13(15)9-8-10-17(5,6)7/h14-15H,8-10H2,1-7H3
国际化学标识检索码 InChIKey KYRVEUDGIGMGNJ-UHFFFAOYSA-N
物理化学性质
密度 0.911g/cm3 (计算值)
沸点 321.808°C at 760 mmHg (计算值)
闪点 148.425°C (计算值)
折射率 1.435 (计算值)
市场分析报告
请浏览(2-羟基-1,1,2-三甲基-丙氧基)-(3-三甲基硅烷基丙基)硼酸市场分析报告总目录
相关产品
2-羟基-4-[3-(三氟甲基)-3H-二氮杂环丙...  2-[(2,2-二甲基-4-氧代-3,8,11-三...  1,3-环己二烯-1,4-二甲酸  (2Z)-2-氨基-3-[(1Z)-3-氧代-1-...  二甲基1,3-环己二烯-1,4-二羧酸酯  1-乙基-2-[(4-羟基苯基)偶氮]吡啶鎓四氟硼...  1-乙基-2-(苯基偶氮)吡啶鎓四氟硼酸盐  1-乙基-4-(苯基偶氮)吡啶鎓四氟硼酸盐  1-乙基-4-[(4-甲基苯基)偶氮]吡啶鎓四氟硼...  1-(金刚烷-1-基)-1-丙酮  2-乙基双环[2.2.1]庚-5-烯-2-甲醛  N'-甲基苯甲酰肼  6-乙氧基-2,2,4-三甲基-1,2-二氢喹啉  4-[(2,6-二氯苄基)氧基]苯甲醛  2-氯-5-碘苯胺