Online Database of Chemicals from Around the World

[(2R)-2-棕榈酰氧基-3-[羟基-[(1S,2R,3R,4S,5S,6S)-2,3,6-三羟基-4,5-二膦酰氧基环己基]氧基磷酰]氧基丙基]棕榈酸酯
[CAS# 165883-85-2]

供应商
Fluorochem Ltd. 英国 询价快递  
+44 (1457) 860-111
enquiries@fluorochem.co.uk
化学品生产商
Sigma-Aldrich, Inc. 美国 询价快递  
+86 (21) 6141-5566 / 800-819-3336
ordercn@sial.com,
化学品生产商(1992 年起)
基本信息
产品名称 [(2R)-2-棕榈酰氧基-3-[羟基-[(1S,2R,3R,4S,5S,6S)-2,3,6-三羟基-4,5-二膦酰氧基环己基]氧基磷酰]氧基丙基]棕榈酸酯
英文名 [(2R)-2-Hexadecanoyloxy-3-[Hydroxy-[(1S,2R,3R,4S,5S,6S)-2,3,6-Trihydroxy-4,5-Diphosphonooxycyclohexyl]Oxyphosphoryl]Oxypropyl] Hexadecanoate
别名 [(2R)-2-Hexadecanoyloxy-3-[Hydroxy-[(1S,2R,3R,4S,5S,6S)-2,3,6-Trihydroxy-4,5-Diphosphonooxy-Cyclohexoxy]Phosphoryl]Oxy-Propyl] Hexadecanoate; Hexadecanoic Acid [(2R)-3-[Hydroxy-[(1S,2R,3R,4S,5S,6S)-2,3,6-Trihydroxy-4,5-Diphosphonooxycyclohexoxy]Phosphoryl]Oxy-2-(1-Oxohexadecoxy)Propyl] Ester; Palmitic Acid [(2R)-2-Hexadecanoyloxy-3-[Hydroxy-[(1S,2R,3R,4S,5S,6S)-2,3,6-Trihydroxy-4,5-Diphosphonooxy-Cyclohexoxy]Phosphoryl]Oxy-Propyl] Ester
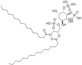
分子结构 CAS 登录号:165883-85-2, [(2R)-2-棕榈酰氧基-3-[羟基-[(1S,2R,3R,4S,5S,6S)-2,3,6-三羟基-4,5-二膦酰氧基环己基]氧基磷酰]氧基丙基]棕榈酸酯
分子式 C41H81O19P3
分子量 971.00
CAS 登录号 165883-85-2
分子行输入简码 SMILES [C@@H]1(O[P](=O)(O)O)[C@@H](O[P](=O)(O)O)[C@H](O)[C@@H](O)[C@H](O[P](OC[C@H](OC(=O)CCCCCCCCCCCCCCC)COC(=O)CCCCCCCCCCCCCCC)(=O)O)[C@@H]1O
国际化学标识码 InChI 1S/C41H81O19P3/c1-3-5-7-9-11-13-15-17-19-21-23-25-27-29-34(42)55-31-33(57-35(43)30-28-26-24-22-20-18-16-14-12-10-8-6-4-2)32-56-63(53,54)60-39-36(44)37(45)40(58-61(47,48)49)41(38(39)46)59-62(50,51)52/h33,36-41,44-46H,3-32H2,1-2H3,(H,53,54)(H2,47,48,49)(H2,50,51,52)/t33-,36-,37-,38+,39+,40+,41+/m1/s1
国际化学标识检索码 InChIKey HKWJHKSHEWVOSS-OMDJCSNQSA-N
物理化学性质
密度 1.273g/cm3 (计算值)
沸点 995.949°C at 760 mmHg (计算值)
闪点 556.13°C (计算值)
市场分析报告
请浏览[(2R)-2-棕榈酰氧基-3-[羟基-[(1S,2R,3R,4S,5S,6S)-2,3,6-三羟基-4,5-二膦酰氧基环己基]氧基磷酰]氧基丙基]棕榈酸酯市场分析报告总目录
相关产品
3,5-二(三氟甲基)苯基异氰酸酯  2'-脱氧肌苷5'-三磷酸酯  (R)-2,3,5,6-四氢-6-苯基咪唑并[2,...  N,N'-二-(3-氯苯基)甲脒  N,N'-二邻甲苯基甲脒  2-氨基-2-(2,6-二氧代-3H-嘧啶-4-基...  N,N-二异丁基肼  2-[4-[2-[4-[[2-甲基-4-(7-磺酸...  戊酰胆碱  N,N'-二甲基三亚甲基硫脲  N,N'-二甲基四亚甲基硫脲  1,3-二甲基-4,5,6,7-四氢-1H-1,3...  丁酸2-(二甲基氨基)乙酯  2-硝基间苯三酚  (4-甲酰基-2-甲氧基苯氧基)乙酸