Online Database of Chemicals from Around the World

[(2R)-2-棕榈酰氧基-3-[羟基-[(1S,2R,3S,4S,5R,6R)-2,3,4,6-四羟基-5-膦酰氧基环己基]氧基磷酰]氧基丙基]棕榈酸酯
[CAS# 165689-81-6]

供应商
International Laboratory Limited 美国 询价快递  
+1 (650) 278-9963
admin@intlab.org
化学品生产商(2002 年起)
Sigma-Aldrich, Inc. 美国 询价快递  
+86 (21) 6141-5566 / 800-819-3336
ordercn@sial.com,
化学品生产商(1992 年起)
基本信息
产品名称 [(2R)-2-棕榈酰氧基-3-[羟基-[(1S,2R,3S,4S,5R,6R)-2,3,4,6-四羟基-5-膦酰氧基环己基]氧基磷酰]氧基丙基]棕榈酸酯
英文名 [(2R)-2-Hexadecanoyloxy-3-[Hydroxy-[(1S,2R,3S,4S,5R,6R)-2,3,4,6-Tetrahydroxy-5-Phosphonooxycyclohexyl]Oxyphosphoryl]Oxypropyl] Hexadecanoate
别名 [(2R)-2-Hexadecanoyloxy-3-[Hydroxy-[(1S,2R,3S,4S,5R,6R)-2,3,4,6-Tetrahydroxy-5-Phosphonooxy-Cyclohexoxy]Phosphoryl]Oxy-Propyl] Hexadecanoate; Hexadecanoic Acid [(2R)-3-[Hydroxy-[(1S,2R,3S,4S,5R,6R)-2,3,4,6-Tetrahydroxy-5-Phosphonooxycyclohexoxy]Phosphoryl]Oxy-2-(1-Oxohexadecoxy)Propyl] Ester; Palmitic Acid [(2R)-2-Hexadecanoyloxy-3-[Hydroxy-[(1S,2R,3S,4S,5R,6R)-2,3,4,6-Tetrahydroxy-5-Phosphonooxy-Cyclohexoxy]Phosphoryl]Oxy-Propyl] Ester
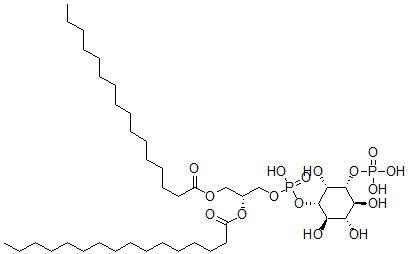
分子结构 CAS 登录号:165689-81-6, [(2R)-2-棕榈酰氧基-3-[羟基-[(1S,2R,3S,4S,5R,6R)-2,3,4,6-四羟基-5-膦酰氧基环己基]氧基磷酰]氧基丙基]棕榈酸酯
分子式 C41H80O16P2
分子量 891.02
CAS 登录号 165689-81-6
分子行输入简码 SMILES [C@@H]1(O[P](OC[C@H](OC(=O)CCCCCCCCCCCCCCC)COC(=O)CCCCCCCCCCCCCCC)(=O)O)[C@H](O)[C@H](O[P](=O)(O)O)[C@@H](O)[C@H](O)[C@H]1O
国际化学标识码 InChI 1S/C41H80O16P2/c1-3-5-7-9-11-13-15-17-19-21-23-25-27-29-34(42)53-31-33(55-35(43)30-28-26-24-22-20-18-16-14-12-10-8-6-4-2)32-54-59(51,52)57-41-38(46)36(44)37(45)40(39(41)47)56-58(48,49)50/h33,36-41,44-47H,3-32H2,1-2H3,(H,51,52)(H2,48,49,50)/t33-,36+,37+,38-,39-,40-,41+/m1/s1
国际化学标识检索码 InChIKey SZPQTEWIRPXBTC-KFOWTEFUSA-N
物理化学性质
密度 1.212g/cm3 (计算值)
沸点 921.092°C at 760 mmHg (计算值)
闪点 510.858°C (计算值)
市场分析报告
请浏览[(2R)-2-棕榈酰氧基-3-[羟基-[(1S,2R,3S,4S,5R,6R)-2,3,4,6-四羟基-5-膦酰氧基环己基]氧基磷酰]氧基丙基]棕榈酸酯市场分析报告总目录
相关产品
[(2R)-3-[[(2S,3S,5R,6S)-2...  3,3'-二皮考基胺  苯甲酸4-[[(4-甲氧基苯基)亚甲基]氨基]苯基...  三甲基硅烷基自由基  1-甲基-3-[2-(4-吡啶基)乙基]-1H-吲...  2-[(P-硝基苯基)偶氮]乙酰乙酰苯胺  N-[[R,(-)]-1-甲基-2-哌啶乙基]-N...  2-[(P-甲氧基苯基)偶氮]乙酰乙酰苯胺  N-[[S,(+)]-1-甲基-2-哌啶乙基]-N...  N-[1-甲基-2-(1-哌啶基)乙基]吡啶-2-...  3-氧代-N-2-吡啶基丁酰胺  1-氧代吡啶-5-胺  3-氧代-N-吡啶-3-基丁酰胺  4-氟-4'-(三氟甲基)二苯甲酮  4-丁氧基-N-[3-(二乙基氨基)丙基]硫代苯甲...