基本信息
| 产品名称 |
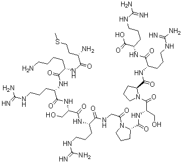
L-蛋氨酰-L-赖氨酰-L-精氨酰-L-丝氨酰-L-精氨酰甘氨酰-L-脯氨酰-L-丝氨酰-L-脯氨酰-L-精氨酰-L-精氨酸 |
| 英文名 |
L-Methionyl-L-Lysyl-L-Arginyl-L-Seryl-L-Arginylglycyl-L-Prolyl-L-Seryl-L-Prolyl-L-Arginyl-L-Arginine |
| 别名 |
BRADYKININ-LIKE NEUROPEPTIDE (APLYSIA CALIFORNICA); H-MET-LYS-ARG-SER-ARG-GLY-PRO-SER-PRO-ARG-ARG-OH; MET-LYS-ARG-SER-ARG-GLY-PRO-SER-PRO-ARG-ARG |
|
| 分子结构 |
 |
| 分子式 |
C53H98N24O14S |
| 分子量 |
1327.56 |
| CAS 登录号 |
165174-60-7 |
| 分子行输入简码 SMILES |
NCCCC[C@@H](C(=O)N[C@H](C(=O)N[C@H](C(=O)N[C@H](C(=O)NCC(=O)N1CCC[C@H]1C(=O)N[C@H](C(=O)N1CCC[C@H]1C(=O)N[C@H](C(=O)N[C@H](C(=O)O)CCCNC(=N)N)CCCNC(=N)N)CO)CCCNC(=N)N)CO)CCCNC(=N)N)NC(=O)[C@H](CCSC)N |
| 国际化学标识码 InChI |
1S/C53H98N24O14S/c1-92-25-17-29(55)40(81)69-31(10-2-3-18-54)42(83)71-32(12-5-20-65-51(58)59)44(85)74-35(27-78)45(86)70-30(11-4-19-64-50(56)57)41(82)68-26-39(80)76-23-8-15-37(76)46(87)75-36(28-79 |
|