基本信息
| 产品名称 |
尿苷二磷酸酯甘露糖 |
| 英文名 |
Uridine Diphosphate Mannose |
| 别名 |
[[(2S,3S,4R,5R)-5-(2,4-Dioxopyrimidin-1-Yl)-3,4-Dihydroxy-Tetrahydrofuran-2-Yl]-[(3S,4S,5S,6R)-3,4,5-Trihydroxy-6-(Hydroxymethyl)Tetrahydropyran-2-Yl]Methyl] Phosphono Hydrogen Phosphate; [[(2S,3S,4R,5R)-5-(2,4-Dioxo-1-Pyrimidinyl)-3,4-Dihydroxy-2-Tetrahydrofuranyl]-[(3S,4S,5S,6R)-3,4,5-Trihydroxy-6-(Hydroxymethyl)-2-Tetrahydropyranyl]Methyl] Phosphono Hydrogen Phosphate; [[(2S,3S,4R,5R)-5-(2,4-Diketopyrimidin-1-Yl)-3,4-Dihydroxy-Tetrahydrofuran-2-Yl]-[(3S,4S,5S,6R)-3,4,5-Trihydroxy-6-Methylol-Tetrahydropyran-2-Yl]Methyl] Phosphono Hydrogen Phosphate |
|
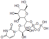
| 分子结构 |
 |
| 分子式 |
C15H24N2O17P2 |
| 分子量 |
566.31 |
| CAS 登录号 |
16375-64-7 |
| 分子行输入简码 SMILES |
[C@@H]2(O[C@@H](N1C(=O)NC(=O)C=C1)[C@H](O)[C@@H]2O)C(O[P](O[P](=O)(O)O)(=O)O)C3O[C@@H]([C@@H](O)[C@H](O)[C@@H]3O)CO |
| 国际化学标识码 InChI |
1S/C15H24N2O17P2/c18-3-4-6(20)7(21)8(22)11(31-4)13(33-36(29,30)34-35(26,27)28)12-9(23)10(24)14(32-12)17-2-1-5(19)16-15(17)25/h1-2,4,6-14,18,20-24H,3H2,(H,29,30)(H,16,19,25)(H2,26,27,28)/t4-,6-,7+,8+,9+,10-,11?,12+,13?,14-/m1/s1 |
| 国际化学标识检索码 InChIKey |
SACNNGXJPADELI-UVPVAZGASA-N |
|