Online Database of Chemicals from Around the World

N-[(2S,3R)-3-羟基-4-[[(2R,3S)-2-羟基-3-[(2-甲基丙烷-2-基)氧基羰基氨基]-4-苯基丁基]氨基]-1-[4-[2-(2-氧代-1,3-恶唑烷-3-基)乙氧基]苯基]丁烷-2-基]氨基甲酸叔丁酯
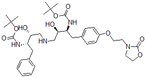
[CAS# 162540-90-1]

供应商
CAS#: 162540-90-1
产品: N-[(2S,3R)-3-羟基-4-[[(2R,3S)-2-羟基-3-[(2-甲基丙烷-2-基)氧基羰基氨基]-4-苯基丁基]氨基]-1-[4-[2-(2-氧代-1,3-恶唑烷-3-基)乙氧基]苯基]丁烷-2-基]氨基甲酸叔丁酯
暂时没有厂家供应该产品。
基本信息
产品名称 N-[(2S,3R)-3-羟基-4-[[(2R,3S)-2-羟基-3-[(2-甲基丙烷-2-基)氧基羰基氨基]-4-苯基丁基]氨基]-1-[4-[2-(2-氧代-1,3-恶唑烷-3-基)乙氧基]苯基]丁烷-2-基]氨基甲酸叔丁酯
英文名 Tert-Butyl N-[(2S,3R)-3-Hydroxy-4-[[(2R,3S)-2-Hydroxy-3-[(2-Methylpropan-2-Yl)Oxycarbonylamino]-4-Phenylbutyl]Amino]-1-[4-[2-(2-Oxo-1,3-Oxazolidin-3-Yl)Ethoxy]Phenyl]Butan-2-Yl]Carbamate
别名 Tert-Butyl N-[(1S,2R)-3-[[(2R,3S)-3-(Tert-Butoxycarbonylamino)-2-Hydroxy-4-Phenyl-Butyl]Amino]-2-Hydroxy-1-[[4-[2-(2-Oxooxazolidin-3-Yl)Ethoxy]Phenyl]Methyl]Propyl]Carbamate; N-[(1S,2R)-3-[[(2R,3S)-3-[(Tert-Butoxy-Oxomethyl)Amino]-2-Hydroxy-4-Phenylbutyl]Amino]-2-Hydroxy-1-[[4-[2-(2-Oxo-3-Oxazolidinyl)Ethoxy]Phenyl]Methyl]Propyl]Carbamic Acid Tert-Butyl Ester; N-[(1S,2R)-3-[[(2R,3S)-3-(Tert-Butoxycarbonylamino)-2-Hydroxy-4-Phenyl-Butyl]Amino]-2-Hydroxy-1-[4-[2-(2-Ketooxazolidin-3-Yl)Ethoxy]Benzyl]Propyl]Carbamic Acid Tert-Butyl Ester
分子结构 CAS 登录号:162540-90-1, N-[(2S,3R)-3-羟基-4-[[(2R,3S)-2-羟基-3-[(2-甲基丙烷-2-基)氧基羰基氨基]-4-苯基丁基]氨基]-1-[4-[2-(2-氧代-1,3-恶唑烷-3-基)乙氧基]苯基]丁烷-2-基]氨基甲酸叔丁酯
分子式 C35H52N4O9
分子量 672.82
CAS 登录号 162540-90-1
分子行输入简码 SMILES [C@@H](NC(OC(C)(C)C)=O)([C@H](O)CNC[C@H]([C@@H](NC(OC(C)(C)C)=O)CC1=CC=C(C=C1)OCCN2C(OCC2)=O)O)CC3=CC=CC=C3
国际化学标识码 InChI 1S/C35H52N4O9/c1-34(2,3)47-31(42)37-27(20-24-10-8-7-9-11-24)29(40)22-36-23-30(41)28(38-32(43)48-35(4,5)6)21-25-12-14-26(15-13-25)45-18-16-39-17-19-46-33(39)44/h7-15,27-30,36,40-41H,16-23H2,1-6H3,(H,37,42)(H,38,43)/t27-,28-,29+,30+/m0/s1
国际化学标识检索码 InChIKey SGPZLDNIZDMEIK-VZNYXHRGSA-N
物理化学性质
密度 1.199g/cm3 (计算值)
沸点 862.951°C at 760 mmHg (计算值)
闪点 475.696°C (计算值)
市场分析报告
请浏览N-[(2S,3R)-3-羟基-4-[[(2R,3S)-2-羟基-3-[(2-甲基丙烷-2-基)氧基羰基氨基]-4-苯基丁基]氨基]-1-[4-[2-(2-氧代-1,3-恶唑烷-3-基)乙氧基]苯基]丁烷-2-基]氨基甲酸叔丁酯市场分析报告总目录
相关产品
4-[(2R)-2-(3-环戊基氧基-4-甲氧基苯...  甘氨酰-亮氨酰-苏氨酰-脯氨酰-天冬氨酰胺酰-蛋氨...  2-甲基-2-[(丙-2-基)氨基]丙腈  3,3''-联吡啶-5-磺酸  9,10-二氢-9,10-乙烯桥蒽-11,12-二...  四环[6.6.2.02,7.09,14]十六烷-2...  4-叔-丁基联苯  苯基三甲基锗烷  辛基肉豆蔻酸酯  锌肉豆蔻酸盐  辛烷-2,7-二酮  苯基亚膦酸钾盐  [2-[5-乙酰氨基-6-[2-[4,5-二羟基-...  [2-[5-乙酰氨基-6-[2-[6-[(E)-3...  1-(氯乙酰基)-4-(4-硝基苯基)哌嗪