Online Database of Chemicals from Around the World

L-赖氨酰甘氨酰-L-苯丙氨酰-L-丝氨酰-L-酪氨酰-L-苯丙氨酰甘氨酰-L-alpha-谷氨酰-L-alpha-天冬氨酰-L-亮氨酰-L-蛋氨酰-L-脯氨酸
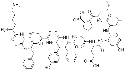
[CAS# 157877-99-1]

基本信息
产品名称 L-赖氨酰甘氨酰-L-苯丙氨酰-L-丝氨酰-L-酪氨酰-L-苯丙氨酰甘氨酰-L-alpha-谷氨酰-L-alpha-天冬氨酰-L-亮氨酰-L-蛋氨酰-L-脯氨酸
英文名 L-Lysylglycyl-L-Phenylalanyl-L-Seryl-L-Tyrosyl-L-Phenylalanylglycyl-L-alpha-Glutamyl-L-alpha-Aspartyl-L-Leucyl-L-Methionyl-L-Proline
分子结构 CAS 登录号:157877-99-1, L-赖氨酰甘氨酰-L-苯丙氨酰-L-丝氨酰-L-酪氨酰-L-苯丙氨酰甘氨酰-L-alpha-谷氨酰-L-alpha-天冬氨酰-L-亮氨酰-L-蛋氨酰-L-脯氨酸
CAS 登录号 157877-99-1
市场分析报告
请浏览L-赖氨酰甘氨酰-L-苯丙氨酰-L-丝氨酰-L-酪氨酰-L-苯丙氨酰甘氨酰-L-alpha-谷氨酰-L-alpha-天冬氨酰-L-亮氨酰-L-蛋氨酰-L-脯氨酸市场分析报告总目录
相关产品
N-(3-羟基丙基)-氨基甲酸 9H-芴-9-基甲...  3-羟基-N-甲基-苯甲酰胺  二[4-叔丁基苯基]-甲酮  4-氰基-3-羟基-丁酰胺  L-半胱氨酰-L-缬氨酰-3-(2-萘基)-L-丙...  2-(2-羟基苯基)-1H-苯并咪唑-6-羧酸  2,4-二甲氧基-苯乙胺  十八烷酸 1-萘基酯  2'-[[[(1,1-二甲基乙氧基)羰基]氨基]甲...  9,10-菲二羧酸二甲酯  4'-(羟基甲基)-[1,1'-联苯]-2-羧酸  1-[N,1-二[(1,1-二甲基乙氧基)羰基]-...  (4R)-4-丁基-2-恶唑烷酮  Ustiloxin E  N6-(2-吡啶基羰基)-L-赖氨酸