Online Database of Chemicals from Around the World

Mangafodipir
[CAS# 155319-91-8]

Suppliers
International Laboratory Limited USA Inquire  
+1 (650) 278-9963
admin@intlab.org
Chemical manufacturer since 2002
Identification
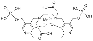
Name Mangafodipir
Synonyms Manganous 2-[2-[Carboxymethyl-[[3-Hydroxy-2-Methyl-5-(Phosphonooxymethyl)-4-Pyridyl]Methyl]Amino]Ethyl-[[3-Hydroxy-2-Methyl-5-(Phosphonooxymethyl)-4-Pyridyl]Methyl]Amino]Acetic Acid; 2-[2-[Carboxymethyl-[[3-Hydroxy-2-Methyl-5-(Phosphonooxymethyl)Pyridin-4-Yl]Methyl]Amino]Ethyl-[[3-Hydroxy-2-Methyl-5-(Phosphonooxymethyl)Pyridin-4-Yl]Methyl]Amino]Ethanoic Acid; Manganese(+2) Cation; Manganate(6-), ((N,N'-1,2-Ethanediylbis[N-((3-(Hydroxy-Kappao)-2-Methyl-5-((Phosphonooxy)Methyl)-4-Pyridinyl)Methyl]Glycinato-Kappan,Kappao))(8-))-, Hexahydrogen, (Oc-6-13)-
Molecular Structure CAS#: 155319-91-8, Mangafodipir
Molecular Formula C22H32MnN4O14P2
Molecular Weight 693.40
CAS Registry Number 155319-91-8
SMILES C1=NC(=C(O)C(=C1CO[P](O)(O)=O)CN(CCN(CC2=C(C=NC(=C2O)C)CO[P](O)(O)=O)CC(O)=O)CC(O)=O)C.[Mn++]
InChI 1S/C22H32N4O14P2.Mn/c1-13-21(31)17(15(5-23-13)11-39-41(33,34)35)7-25(9-19(27)28)3-4-26(10-20(29)30)8-18-16(12-40-42(36,37)38)6-24-14(2)22(18)32;/h5-6,31-32H,3-4,7-12H2,1-2H3,(H,27,28)(H,29,30)(H2,33,34,35)(H2,36,37,38);/q;+2
InChIKey QDQFSBKXQQZVTB-UHFFFAOYSA-N
Properties
Boiling point 1049.1°C at 760 mmHg (Cal.)
Flash point 588.3°C (Cal.)
Market Analysis Reports
List of Reports Available for Mangafodipir
Related Products
(1R,4S,6R)-6-Pyridin-3-Yl-7-Azabicyclo[2...  1-(3,4-Dihydroxyphenyl)-2-[4-(2-Methoxyp...  [(E)-6-Cyclopropylidene-3-Methylhex-2-En...  alpha-[[(4-Methoxybutyl)Amino]Methyl]-1,...  Metacine  N,N'-Bis(Aziridineacetyl)-1,8-Octamethyl...  2-(Diethylamino)Ethyl 2-Phenylbutyrate H...  Pipratecol  Terbuficin  1,3-Bis(Hydroxymethyl)Imidazolidine-2-Th...  Bis[(2-Hydroxyethyl)Ammonium] Sulphite  2,2-Dioctyl-1,3,2-Oxathiastannolan-5-One  4,4'-Iminodibenzamidine  4-(2-(5-Nitro-2-Furanyl)Ethenyl)Benzamid...  Ethylphosphonic Acid p-Nitrophenyl(Methy...