Online Database of Chemicals from Around the World

3-O-(吡喃木糖基-1-2-吡喃葡萄糖基-1-4)(吡喃葡萄糖基-1-2-吡喃葡萄糖基-1-2)-吡喃鼠李糖基仙客来皂甙元A
[CAS# 153127-35-6]

供应商
CAS#: 153127-35-6
产品: 3-O-(吡喃木糖基-1-2-吡喃葡萄糖基-1-4)(吡喃葡萄糖基-1-2-吡喃葡萄糖基-1-2)-吡喃鼠李糖基仙客来皂甙元A
暂时没有厂家供应该产品。
基本信息
产品名称 3-O-(吡喃木糖基-1-2-吡喃葡萄糖基-1-4)(吡喃葡萄糖基-1-2-吡喃葡萄糖基-1-2)-吡喃鼠李糖基仙客来皂甙元A
英文名 3-O-(Xylopyranosyl-1-2-Glucopyranosyl-1-4)(Glucopyranosyl-1-2-Glucopyranosyl-1-2)-Rhamnopyranosylcyclamiretin A
别名 Oleanan-29-Al, 13,28-Epoxy-3-((O-Beta-D-Glucopyranosyl-(1-2)-O-Beta-D-Glucopyranosyl-(1-2)-O-(O-Beta-D-Xylopyranosyl-(1-2)-Beta-D-Glucopyranosyl-(1-4))-Alpha-L-Arabinopyranosyl)Oxy)-16-Hydroxy-, (3Beta,16Alpha,20Beta)-
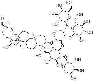
分子结构 CAS 登录号:153127-35-6, 3-O-(吡喃木糖基-1-2-吡喃葡萄糖基-1-4)(吡喃葡萄糖基-1-2-吡喃葡萄糖基-1-2)-吡喃鼠李糖基仙客来皂甙元A
分子式 C58H94O27
分子量 1223.36
CAS 登录号 153127-35-6
分子行输入简码 SMILES [C@@]34(C1(OCC2([C@@H]1C[C@@](CC2)(C=O)C)[C@H](O)C3)CC[C@H]5[C@]4(CCC%11[C@@]5(CC[C@H](O[C@@H]8OC[C@H](O[C@H]6O[C@@H]([C@@H](O)[C@H](O)[C@H]6O)CO)[C@H](O[C@H]7O[C@@H]([C@@H](O)[C@H](O)[C@H]7O)CO)[C@H]8O[C@@H]9O[C@@H]([C@@H](O)[C@H](O)[C@H]9O[C@@H]%10OC[C@@H](O)[C@H](O)[C@H]%10O)CO)C%11(C)C)C)C)C
国际化学标识码 InChI 1S/C58H94O27/c1-52(2)29-7-11-55(5)30(8-12-58-31-15-53(3,22-62)13-14-57(31,23-77-58)32(64)16-56(55,58)6)54(29,4)10-9-33(52)82-50-46(85-51-45(40(71)37(68)27(19-61)80-51)84-47-41(72)34(65)24(63)20-75-47)44(83-49-43(74)39(70)36(67)26(18-60)79-49)28(21-76-50)81-48-42(73)38(69)35(66)25(17-59)78-48/h22,24-51,59-61,63-74H,7-21,23H2,1-6H3/t24-,25-,26-,27-,28+,29?,30-,31+,32-,33+,34+,35-,36-,37-,38+,39+,40+,41-,42-,43-,44+,45-,46-,47+,48-,49-,50+,51+,53-,54+,55-,56+,57?,58?/m1/s1
国际化学标识检索码 InChIKey OPEWQJDJWKXIPC-OSHGGGOQSA-N
物理化学性质
密度 1.532g/cm3 (计算值)
市场分析报告
请浏览3-O-(吡喃木糖基-1-2-吡喃葡萄糖基-1-4)(吡喃葡萄糖基-1-2-吡喃葡萄糖基-1-2)-吡喃鼠李糖基仙客来皂甙元A市场分析报告总目录
相关产品
N-(4-氯苯基)-1-氰基甲酰胺  3-氯-1-氰基甲酰苯胺  乙基2-(2,4-二氯苯胺基)-2-氧代乙酸酯  胆甾烷-3,7,26-三醇  N-(2-氟乙基)-N-(2-甲氧基乙基)-2-萘...  N-烯丙基-O-甲苯胺  2-(苄基硫基)苯甲酸  (4R,5S,6S,7R)-5,6-二羟基-4,7...  (4R,5S,6S,7R)-5,6-二羟基-1,3...  (4R,5S,6S,7R)-1,3-二己基-5,6...  (4R,5S,6S,7R)-1,3-二乙基-5,6...  (4R,5S,6S,7R)-5,6-二羟基-1,3...  (4R,5S,6S,7R)-5,6-二羟基-1,3...  (4R,5S,6S,7R)-1,3-二[(4-氟苯...  (4R,5S,6S,7R)-1,3-二[(3-氟苯...