Online Database of Chemicals from Around the World

Sialokinin II
[CAS# 152923-42-7]

Suppliers
CAS#: 152923-42-7
Product: Sialokinin II
No suppilers available for the product.
Identification
Name Sialokinin II
Synonyms (3S)-4-[[(1S)-5-Amino-1-[[(1S)-2-[[(1S)-2-[[2-[[(1S)-1-[[(1S)-1-Carbamoyl-3-Methylsulfanyl-Propyl]Carbamoyl]-3-Methyl-Butyl]Amino]-2-Oxo-Ethyl]Amino]-1-[(4-Hydroxyphenyl)Methyl]-2-Oxo-Ethyl]Amino]-2-Oxo-1-(Phenylmethyl)Ethyl]Carbamoyl]Pentyl]Amino]-3-[[2-[[(2S,3R)-2-[[(2S)-2-Amino-4-Hydroxy-4-Oxo-Butanoyl]Amino]-3-Hydroxy-Butanoyl]Amino]Acetyl]Amino]-4-Oxo-Butanoic Acid; (3S)-4-[[(1S)-5-Amino-1-[[[(1S)-2-[[(1S)-2-[[2-[[(1S)-1-[[[(1S)-1-Carbamoyl-3-(Methylthio)Propyl]Amino]-Oxomethyl]-3-Methylbutyl]Amino]-2-Oxoethyl]Amino]-1-[(4-Hydroxyphenyl)Methyl]-2-Oxoethyl]Amino]-2-Oxo-1-(Phenylmethyl)Ethyl]Amino]-Oxomethyl]Pentyl]Amino]-3-[[2-[[(2S,3R)-2-[[(2S)-2-Amino-4-Hydroxy-1,4-Dioxobutyl]Amino]-3-Hydroxy-1-Oxobutyl]Amino]-1-Oxoethyl]Amino]-4-Oxobutanoic Acid; (3S)-4-[[(1S)-5-Amino-1-[[(1S)-1-(Benzyl)-2-[[(1S)-2-[[2-[[(1S)-1-[[(1S)-1-Carbamoyl-3-(Methylthio)Propyl]Carbamoyl]-3-Methyl-Butyl]Amino]-2-Keto-Ethyl]Amino]-1-(4-Hydroxybenzyl)-2-Keto-Ethyl]Amino]-2-Keto-Ethyl]Carbamoyl]Pentyl]Amino]-3-[[2-[[(2S,3R)-2-[[(2S)-2-Amino-4-Hydroxy-4-Keto-Butanoyl]Amino]-3-Hydroxy-Butanoyl]Amino]Acetyl]Amino]-4-Keto-Butyric Acid
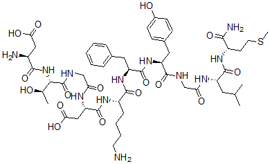
Molecular Structure CAS#: 152923-42-7, Sialokinin II
Molecular Formula C51H76N12O16S
Molecular Weight 1145.29
CAS Registry Number 152923-42-7
SMILES [C@@H](NC(=O)[C@@H](NC(=O)[C@@H](NC(=O)CNC(=O)[C@@H](NC(=O)[C@@H](N)CC(=O)O)[C@H](O)C)CC(=O)O)CCCCN)(C(=O)N[C@H](C(=O)NCC(=O)N[C@H](C(=O)N[C@H](C(=O)N)CCSC)CC(C)C)CC1=CC=C(O)C=C1)CC2=CC=CC=C2
InChI 1S/C51H76N12O16S/c1-27(2)20-35(48(76)59-33(44(54)72)17-19-80-4)57-39(66)25-55-46(74)36(22-30-13-15-31(65)16-14-30)61-49(77)37(21-29-10-6-5-7-11-29)62-47(75)34(12-8-9-18-52)60-50(78)38(24-42(70)71)58-40(67)26-56-51(79)43(28(3)64)63-45(73)32(53)23-41(68)69/h5-7,10-11,13-16,27-28,32-38,43,64-65H,8-9,12,17-26,52-53H2,1-4H3,(H2,54,72)(H,55,74)(H,56,79)(H,57,66)(H,58,67)(H,59,76)(H,60,78)(H,61,77)(H,62,75)(H,63,73)(H,68,69)(H,70,71)/t28-,32+,33+,34+,35+,36+,37+,38+,43+/m1/s1
InChIKey DAASCSHCPGXAAM-FBCVKHONSA-N
Properties
Density 1.335g/cm3 (Cal.)
Boiling point 1618.535°C at 760 mmHg (Cal.)
Flash point 932.656°C (Cal.)
Market Analysis Reports
List of Reports Available for Sialokinin II
Related Products
Triethylphenoxystannane  4-Amino-2-(4,4-Dimethyl-2-Oxoimidazolidi...  9H-Fluorene-9-Carbonitrile  6-Bromopyrido[2,3-d]Pyrimidine-2,4-Diami...  (2,2-Diethoxy-1-Methylethyl)Benzene  Triicosylaluminium  Tritetradecylaluminium  Tridodecylaluminium  2-Hydroxy-3-(3-Hydroxy-3-Methylbutyl)-1,...  1,1-Diphenylheptane  9,9'-Bifluorene  8-Ethoxyquinoline-5-Sulfonic Acid  Antafenite  Bezitramide  2-(Cyclopropylamino)-5-Phenyl-1,3-Oxazol...