Online Database of Chemicals from Around the World

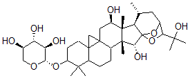
12-羟基升麻醇-3-O-吡喃木糖
[CAS# 152685-90-0]

供应商
Quality Phytochemicals LLC 美国 询价快递  
+1 (908) 510-9277
sales@qualityphytochemicalsllc.com
化学品生产商
基本信息
产品名称 12-羟基升麻醇-3-O-吡喃木糖
英文名 12-Hydroxycimigenol-3-O-Xylopyranoside
别名 12Beta-Hydroxycimigenol 3-(Beta-D-Xylopyranoside); 12Beta-Hydroxycimigenol-3-O-Beta-D-Xylopyranoside; Beta-D-Xylopyranoside, (3Beta,12Beta,15Alpha,16Alpha,23R,24S)-16,23:16,24-Diepoxy-12,15,25-Trihydroxy-9,19-Cyclolanostan-3-Yl
分子结构 CAS 登录号:152685-90-0, 12-羟基升麻醇-3-O-吡喃木糖
分子式 C35H56O10
分子量 636.82
CAS 登录号 152685-90-0
分子行输入简码 SMILES [C@@]37([C@@]([C@@H]2C1(OC(C(O1)C(O)(C)C)C[C@H]2C)[C@@H]3O)([C@H](O)CC48C6(C4)C(C(C(O[C@@H]5OC[C@@H](O)[C@H](O)[C@H]5O)CC6)(C)C)CCC78)C)C
国际化学标识码 InChI 1S/C35H56O10/c1-16-12-18-26(30(4,5)41)45-35(44-18)25(16)32(7)21(37)13-34-15-33(34)11-10-22(43-27-24(39)23(38)17(36)14-42-27)29(2,3)19(33)8-9-20(34)31(32,6)28(35)40/h16-28,36-41H,8-15H2,1-7H3/t16-,17-,18?,19?,20?,21-,22?,23+,24-,25-,26?,27+,28-,31-,32-,33?,34?,35?/m1/s1
国际化学标识检索码 InChIKey JKPGINPCCVKTKQ-YCOQZNGPSA-N
物理化学性质
密度 1.362g/cm3 (计算值)
沸点 771.382°C at 760 mmHg (计算值)
闪点 420.317°C (计算值)
市场分析报告
请浏览12-羟基升麻醇-3-O-吡喃木糖市场分析报告总目录
相关产品
4-甲基-2,5-二异丙基苯酚  1-(4-甲氧基苯甲酰基)氮丙啶  Cycleabarbatine  (1aS-(1aalpha,2abeta,6alp...  4-氨基-2,5-二甲氧基二苯甲酮  雌二醇-3-葡糖苷酸  N-烯丙基-alpha-甲基-3-(三氟甲基)苯乙...  N-(2-丁烯基)-alpha-甲基-3-(三氟甲...  alpha-甲基-N-(2-甲基-2-丙烯基)-3...  alpha-甲基-N-(4-戊炔基)-3-(三氟甲...  alpha-甲基-N-(2-丙炔基)-3-(三氟甲...  5-氨基-1,3-二甲基-2,4-二氧代吡啶并[6...  2-(苯硫基)苯甲酸  胍基亚精胺  4-O-羧甲基-21-脱氧-20-羟基-21-氧代...