Online Database of Chemicals from Around the World

脱氧胞苷酰-(3'-5')-脱氧鸟苷
[CAS# 15178-66-2]

供应商
CAS#: 15178-66-2
产品: 脱氧胞苷酰-(3'-5')-脱氧鸟苷
暂时没有厂家供应该产品。
基本信息
产品名称 脱氧胞苷酰-(3'-5')-脱氧鸟苷
英文名 Deoxycytidylyl-(3'-5')-Deoxyguanosine
别名 [(2R,3S)-5-(2-Amino-6-Oxo-3H-Purin-9-Yl)-3-Hydroxy-Tetrahydrofuran-2-Yl]Methyl [(2R,5R)-5-(4-Amino-2-Oxo-Pyrimidin-1-Yl)-2-(Hydroxymethyl)Tetrahydrofuran-3-Yl] Hydrogen Phosphate; [(2R,3S)-5-(2-Amino-6-Oxo-3H-Purin-9-Yl)-3-Hydroxy-2-Tetrahydrofuranyl]Methyl [(2R,5R)-5-(4-Amino-2-Oxo-1-Pyrimidinyl)-2-(Hydroxymethyl)-3-Tetrahydrofuranyl] Hydrogen Phosphate; [(2R,3S)-5-(2-Amino-6-Keto-3H-Purin-9-Yl)-3-Hydroxy-Tetrahydrofuran-2-Yl]Methyl [(2R,5R)-5-(4-Amino-2-Keto-Pyrimidin-1-Yl)-2-Methylol-Tetrahydrofuran-3-Yl] Hydrogen Phosphate
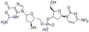
分子结构 CAS 登录号:15178-66-2, 脱氧胞苷酰-(3'-5')-脱氧鸟苷
分子式 C19H25N8O10P
分子量 556.43
CAS 登录号 15178-66-2
分子行输入简码 SMILES [N]1(C2=C(N=C1)C(=O)N=C(N2)N)C3O[C@@H]([C@@H](O)C3)CO[P](OC5[C@H](O[C@@H](N4C(=O)N=C(N)C=C4)C5)CO)(=O)O
国际化学标识码 InChI 1S/C19H25N8O10P/c20-12-1-2-26(19(31)23-12)14-4-9(10(5-28)35-14)37-38(32,33)34-6-11-8(29)3-13(36-11)27-7-22-15-16(27)24-18(21)25-17(15)30/h1-2,7-11,13-14,28-29H,3-6H2,(H,32,33)(H2,20,23,31)(H3,21,24,25,30)/t8-,9?,10+,11+,13?,14+/m0/s1
国际化学标识检索码 InChIKey OBCJQWSXSLYWHI-ZVSJHMINSA-N
物理化学性质
密度 2.145g/cm3 (计算值)
沸点 963.549°C at 760 mmHg (计算值)
闪点 536.535°C (计算值)
市场分析报告
请浏览脱氧胞苷酰-(3'-5')-脱氧鸟苷市场分析报告总目录
相关产品
硝呋米特  1,4-孕甾二烯-11-beta, 17,21-三...  脱氧鸟苷酰-(3'-5')-鸟苷  (6aR*,8E,11aS*,18aR*,19R*...  1,3-二-异丙基-5-乙基苯  焦谷氨酰-丝氨酰-缬氨酰-脯氨酰-苏氨酰-苯丙氨酰...  硫代磷酸根  亚硫酸  1,2-二氢-1-(O-甲氧基苯基)-5H-四唑-...  N-亚磺酰-O-甲苯胺  7-氯-5-甲基-2H-1,4-苯并噻嗪-3(4H...  (1R,2R)-2-(4-甲基苯甲酰)环己烷-1-...  雌四醇  (3,3-二乙氧基丙基)三乙氧基硅烷  N,N-二甲基-1-(4-硝基苯基)甲胺