Online Database of Chemicals from Around the World

(7R,11R,15R,23R,27R)-7,8,11,12,15,16,23,24,27,28-Decahydro-2,4,18,20-tetrahydroxy-7,11,15,23,27-pentamethyl-5H,9H,13H,21H,25H-Dibenzo[k,u][1,5,9,15,19]pentaoxacyclotetracosin-5,9,13,21,25-pentone
[CAS# 151379-39-4]

Suppliers
CAS#: 151379-39-4
Product: (7R,11R,15R,23R,27R)-7,8,11,12,15,16,23,24,27,28-Decahydro-2,4,18,20-tetrahydroxy-7,11,15,23,27-pentamethyl-5H,9H,13H,21H,25H-Dibenzo[k,u][1,5,9,15,19]pentaoxacyclotetracosin-5,9,13,21,25-pentone
No suppilers available for the product.
Identification
Name (7R,11R,15R,23R,27R)-7,8,11,12,15,16,23,24,27,28-Decahydro-2,4,18,20-tetrahydroxy-7,11,15,23,27-pentamethyl-5H,9H,13H,21H,25H-Dibenzo[k,u][1,5,9,15,19]pentaoxacyclotetracosin-5,9,13,21,25-pentone
Synonyms Bk223-C
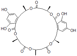
Molecular Structure CAS#: 151379-39-4, (7R,11R,15R,23R,27R)-7,8,11,12,15,16,23,24,27,28-Decahydro-2,4,18,20-tetrahydroxy-7,11,15,23,27-pentamethyl-5H,9H,13H,21H,25H-Dibenzo[k,u][1,5,9,15,19]pentaoxacyclotetracosin-5,9,13,21,25-pentone
Molecular Formula C32H38O14
Molecular Weight 646.64
CAS Registry Number 151379-39-4
SMILES [C@H]1(CC(O[C@@H](CC(O[C@@H](CC3=C(C(O[C@@H](CC(O[C@@H](CC2=C(C(O1)=O)C(=CC(=C2)O)O)C)=O)C)=O)C(=CC(=C3)O)O)C)=O)C)=O)C
InChI 1S/C32H38O14/c1-15-6-20-11-22(33)13-24(35)29(20)31(40)45-18(4)9-27(38)43-16(2)7-21-12-23(34)14-25(36)30(21)32(41)46-19(5)10-28(39)44-17(3)8-26(37)42-15/h11-19,33-36H,6-10H2,1-5H3/t15-,16-,17-,18-,19-/m1/s1
InChIKey ZIOHDYUFQITWAX-FVVUREQNSA-N
Properties
Density 1.251g/cm3 (Cal.)
Boiling point 1032.216°C at 760 mmHg (Cal.)
Flash point 329.406°C (Cal.)
Market Analysis Reports
List of Reports Available for (7R,11R,15R,23R,27R)-7,8,11,12,15,16,23,24,27,28-Decahydro-2,4,18,20-tetrahydroxy-7,11,15,23,27-pentamethyl-5H,9H,13H,21H,25H-Dibenzo[k,u][1,5,9,15,19]pentaoxacyclotetracosin-5,9,13,21,25-pentone
Related Products
2,4,6-Trimethyl-1,3-Benzenedicarbonitril...  4-[4-[3-(Trifluoromethyl)Phenyl]-1-Piper...  Ethyl N-[10-(3-Morpholin-4-Ylpropanoyl)-...  Thionitrobenzoic Acid  (7E,9E,11Z,14Z)-5-Oxoicosa-7,9,11,14-Tet...  5,5'-Diphenyl-3,3'-Diisothiazole Disulfi...  Ethyl 6-(Bromomethyl)-2-Oxo-4-Thien-2-Yl...  3-Fluorofluoren-9-One  Zinc dodecyl hydrogen disulphate  4-Fluoro-9H-Fluoren-9-One  Hexasodium Dihydrogen [Ethane-1,2-Diylbi...  2-Amino-3-(2-Oxo-1,3-Dihydroimidazol-4-Y...  Dichloro-(S,S)-(N,N'-diethyl-2,4-pentane...  Fluoroacetyl Fluoride  6-(2-Aminoethyl)-3-Biphenylol Hydrochlor...