Online Database of Chemicals from Around the World

Theonezolide A
[CAS# 150243-49-5]

Suppliers
CAS#: 150243-49-5
Product: Theonezolide A
No suppilers available for the product.
Identification
Name Theonezolide A
Synonyms [(22E)-5-[[(E)-18-[6-[2-(9-Aminodecyl)-1,3-Thiazol-4-Yl]-3-Methyloxan-2-Yl]-5,7,9,13,15,17-Hexahydroxy-2,4-Dimethyloctadec-2-Enoyl]Amino]-12,16,18,26,30,32-Hexahydroxy-24-Methoxy-4,7,21-Trimethyl-2-Oxo-3,37-Dioxa-39-Azabicyclo[34.2.1]Nonatriaconta-1(38),22,36(39)-Trien-6-Yl] Hydrogen Sulfate; [(22E)-5-[[(E)-18-[6-[2-(9-Aminodecyl)Thiazol-4-Yl]-3-Methyl-Tetrahydropyran-2-Yl]-5,7,9,13,15,17-Hexahydroxy-2,4-Dimethyl-Octadec-2-Enoyl]Amino]-12,16,18,26,30,32-Hexahydroxy-24-Methoxy-4,7,21-Trimethyl-2-Oxo-3,37-Dioxa-39-Azabicyclo[34.2.1]Nonatriaconta-1(38),22,36(39)-Trien-6-Yl] Hydrogen Sulfate; [5-[[(E)-18-[6-[2-(9-Aminodecyl)Thiazol-4-Yl]-3-Methyl-Tetrahydropyran-2-Yl]-5,7,9,13,15,17-Hexahydroxy-2,4-Dimethyl-Octadec-2-Enoyl]Amino]-12,16,18,26,30,32-Hexahydroxy-24-Methoxy-4,7,21-Trimethyl-2-Oxo-3,37-Dioxa-39-Azabicyclo[34.2.1]Nonatriaconta-1(38),22,36(39)-Trien-6-Yl] Hydrogen Sulfate
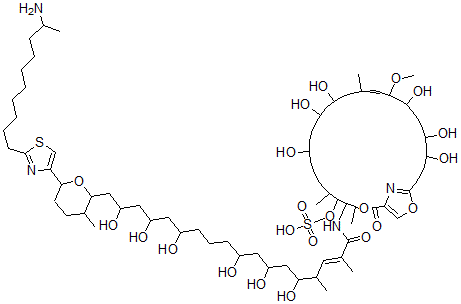
Molecular Structure CAS#: 150243-49-5, Theonezolide A
Molecular Formula C79H140N4O22S2
Molecular Weight 1562.11
CAS Registry Number 150243-49-5
SMILES C1=C(N=C(S1)CCCCCCCCC(N)C)C2OC(C(CC2)C)CC(O)CC(O)CC(O)CCCC(O)CC(O)CC(O)C(\C=C(C(=O)NC4C(O[S](=O)(=O)O)C(CCCCC(O)CCCC(O)CC(O)CCC(\C=C/C(OC)CC(O)CCCC(O)CC(O)CCCC3=NC(=CO3)C(OC4C)=O)C)C)/C)C
InChI 1S/C79H140N4O22S2/c1-50-33-36-64(91)41-59(86)25-17-24-57(84)23-16-15-21-52(3)77(105-107(98,99)100)76(56(7)103-79(97)69-48-102-74(81-69)31-20-30-60(87)40-58(85)26-19-29-63(90)45-68(101-8)37-34-50)83-78(96)54(5)39-53(4)71(95)46-66(93)43-62(89)28-18-27-61(88)42-65(92)44-67(94)47-73-51(2)35-38-72(104-73)70-49-106-75(82-70)32-14-12-10-9-11-13-22-55(6)80/h34,37,39,48-53,55-68,71-73,76-77,84-95H,9-33,35-36,38,40-47,80H2,1-8H3,(H,83,96)(H,98,99,100)/b37-34-,54-39+
InChIKey MMSGOWXOEFXAOS-FIOIJENESA-N
Properties
Density 1.25g/cm3 (Cal.)
Market Analysis Reports
List of Reports Available for Theonezolide A
Related Products
2,5,8-Trihydroxy-1,3,4,6,7,9,9b-Heptaaza...  1,3,4,6,7,9,9b-Heptaazaphenalene-2,5,8-T...  4-[1-(9H-Fluoren-9-Yl)Ethoxycarbonylamin...  2,2'-Bipyridine ferrous perchlorate  N-Carbobenzoxy-DL-Norleucine  3-Pyrrolidin-3-Ylpyridine  Methyl 3-Phenyl-DL-Alaninate  DL-alpha,beta-Isopropylidene Glycerol-ga...  3-(4-Methyl-Piperazin-1-Yl)-3-Oxo-Propio...  2-Cyano-N-Cyclopropyl-Acetamide  2-Cyano-N-(3-Methoxy-Propyl)-Acetamide  2-Cyano-N-(3-Ethoxy-Propyl)-Acetamide  O,O'-Diacetylmorphine hydrochloride  4-(2-Cyano-Acetylamino)-Benzoic Acid Eth...  3-Chloro-4-(2,4,6-Trichlorophenyl)Phenol