Online Database of Chemicals from Around the World

[1-[[5-(5-氟-2,4-二氧代嘧啶-1-基)-3,4-二羟基四氢呋喃-2-基]甲氧基-羟基磷酰]氧基-3-棕榈酰氧基丙-2-基](9E,12E)-十八碳-9,12-二烯酸酯
[CAS# 148763-98-8]

供应商
CAS#: 148763-98-8
产品: [1-[[5-(5-氟-2,4-二氧代嘧啶-1-基)-3,4-二羟基四氢呋喃-2-基]甲氧基-羟基磷酰]氧基-3-棕榈酰氧基丙-2-基](9E,12E)-十八碳-9,12-二烯酸酯
暂时没有厂家供应该产品。
基本信息
产品名称 [1-[[5-(5-氟-2,4-二氧代嘧啶-1-基)-3,4-二羟基四氢呋喃-2-基]甲氧基-羟基磷酰]氧基-3-棕榈酰氧基丙-2-基](9E,12E)-十八碳-9,12-二烯酸酯
英文名 [1-[[5-(5-Fluoro-2,4-Dioxopyrimidin-1-Yl)-3,4-Dihydroxyoxolan-2-Yl]Methoxy-Hydroxyphosphoryl]Oxy-3-Hexadecanoyloxypropan-2-Yl] (9E,12E)-Octadeca-9,12-Dienoate
别名 [1-[[[5-(5-Fluoro-2,4-Dioxo-Pyrimidin-1-Yl)-3,4-Dihydroxy-Tetrahydrofuran-2-Yl]Methoxy-Hydroxy-Phosphoryl]Oxymethyl]-2-Hexadecanoyloxy-Ethyl] (9E,12E)-Octadeca-9,12-Dienoate; (9E,12E)-Octadeca-9,12-Dienoic Acid [1-[[[5-(5-Fluoro-2,4-Dioxo-1-Pyrimidinyl)-3,4-Dihydroxy-2-Tetrahydrofuranyl]Methoxy-Hydroxyphosphoryl]Oxymethyl]-2-(1-Oxohexadecoxy)Ethyl] Ester; (9E,12E)-Octadeca-9,12-Dienoic Acid [1-[[[5-(5-Fluoro-2,4-Diketo-Pyrimidin-1-Yl)-3,4-Dihydroxy-Tetrahydrofuran-2-Yl]Methoxy-Hydroxy-Phosphoryl]Oxymethyl]-2-Hexadecanoyloxy-Ethyl] Ester
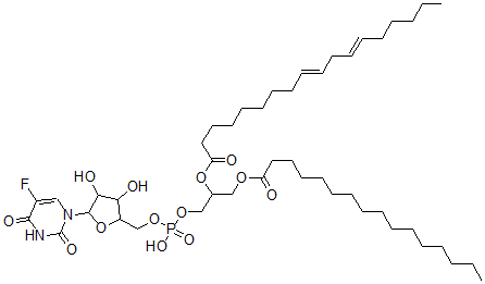
分子结构 CAS 登录号:148763-98-8, [1-[[5-(5-氟-2,4-二氧代嘧啶-1-基)-3,4-二羟基四氢呋喃-2-基]甲氧基-羟基磷酰]氧基-3-棕榈酰氧基丙-2-基](9E,12E)-十八碳-9,12-二烯酸酯
分子式 C46H78FN2O13P
分子量 917.10
CAS 登录号 148763-98-8
分子行输入简码 SMILES C(O[P](OCC(OC(=O)CCCCCCC\C=C\C\C=C\CCCCC)COC(=O)CCCCCCCCCCCCCCC)(=O)O)C2OC(N1C(=O)NC(=O)C(=C1)F)C(O)C2O
国际化学标识码 InChI 1S/C46H78FN2O13P/c1-3-5-7-9-11-13-15-17-18-20-22-24-26-28-30-32-41(51)61-37(34-58-40(50)31-29-27-25-23-21-19-16-14-12-10-8-6-4-2)35-59-63(56,57)60-36-39-42(52)43(53)45(62-39)49-33-38(47)44(54)48-46(49)55/h11,13,17-18,33,37,39,42-43,45,52-53H,3-10,12,14-16,19-32,34-36H2,1-2H3,(H,56,57)(H,48,54,55)/b13-11+,18-17+
国际化学标识检索码 InChIKey WXJCTJXZGXSRDD-XZBBILGWSA-N
物理化学性质
密度 1.187g/cm3 (计算值)
市场分析报告
请浏览[1-[[5-(5-氟-2,4-二氧代嘧啶-1-基)-3,4-二羟基四氢呋喃-2-基]甲氧基-羟基磷酰]氧基-3-棕榈酰氧基丙-2-基](9E,12E)-十八碳-9,12-二烯酸酯市场分析报告总目录
相关产品
[(2R,3S,4R,5R)-5-(6-氨基嘌呤-...  三(乙二胺)钴(III)  4-[[4-[二(2-氯乙基)氨基]苯氧基]羰基氨...  (Z)-2-甲基-3-十四烷基丁-2-烯二酸  (Z)-4-[(E)-十六碳-2-烯-7-基]氧基...  N,N'-二(1-甲基-6-氧代吡啶-3-基)辛烷...  N,N'-二(1-甲基-6-氧代吡啶-3-基)癸二...  苯氧化物  [4-(苯甲酰基)-2-硝基苯基]2-(9H-芴-...  1-[2-[(4-碘苯基)-苯基甲氧基]乙基]-4...  1-[2-[(4-溴苯基)-苯基甲氧基]乙基]-4...  (2R,5S)-5-氨基-2-[[(2S)-2-[...  1,3-二[[(2R,3S,4R,5R)-2,4,...  聚丙烯酰胺-丁胺聚合物  (20alpha)-16,17-二去氢-11-甲氧...