Online Database of Chemicals from Around the World

氨基甲基二噻茂烷基鬼笔环肽
[CAS# 148333-39-5]

供应商
CAS#: 148333-39-5
产品: 氨基甲基二噻茂烷基鬼笔环肽
暂时没有厂家供应该产品。
基本信息
产品名称 氨基甲基二噻茂烷基鬼笔环肽
英文名 Aminomethyldithiolano phalloidin
别名 Aminomethyldithiolano Phalloidin
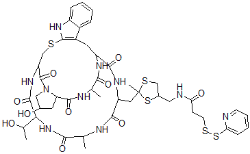
分子结构 CAS 登录号:148333-39-5, 氨基甲基二噻茂烷基鬼笔环肽
分子式 C45H58N10O10S5
分子量 1059.31
CAS 登录号 148333-39-5
分子行输入简码 SMILES C7=C6C3=C(SCC1NC(=O)C(NC(=O)C(NC(=O)C(NC(=O)C(NC(=O)C(NC(=O)C2N(C1=O)CC(O)C2)C)C3)CC4(SC(CS4)CNC(=O)CCSSC5=CC=CC=N5)C)C)C(O)C)[NH]C6=CC=C7
国际化学标识码 InChI 1S/C45H58N10O10S5/c1-22-37(59)50-30-16-28-27-9-5-6-10-29(27)53-43(28)66-21-32(44(65)55-19-25(57)15-33(55)41(63)49-22)52-42(64)36(24(3)56)54-38(60)23(2)48-40(62)31(51-39(30)61)17-45(4)67-20-26(69-45)18-47-34(58)12-14-68-70-35-11-7-8-13-46-35/h5-11,13,22-26,30-33,36,53,56-57H,12,14-21H2,1-4H3,(H,47,58)(H,48,62)(H,49,63)(H,50,59)(H,51,61)(H,52,64)(H,54,60)
国际化学标识检索码 InChIKey XWAXJAIBRHWNMP-UHFFFAOYSA-N
物理化学性质
密度 1.519g/cm3 (计算值)
沸点 1481.873°C at 760 mmHg (计算值)
闪点 850.006°C (计算值)
市场分析报告
请浏览氨基甲基二噻茂烷基鬼笔环肽市场分析报告总目录
相关产品
[(2R,3S,4R,5R)-5-(6-氨基嘌呤-...  钐154  铒168  [(2S,3S,5R)-3-叠氮基-5-(5-甲基...  [(2S,3S,5R)-3-叠氮基-5-(5-甲基...  2-[[(2S)-1-[(2S,3S)-3-甲基-...  钆160  镝162  氡219  硫酸盐离子  石刁柏皂甙A  N-(2-联苯基)邻苯二甲酸亚胺  三钠5-氨基-8-[[4-[(4,6-二氯-1,3...  乙烯基硫脲  1-氯-2-(2-氯-1-(4-氯苯基)乙烯基)-...