基本信息
| 产品名称 |
10-(4-二甲基氨基-3-羟基-6-甲基四氢吡喃-2-基)氧基-2-乙基-3,9-二羟基-12-(5-羟基-4-甲氧基-4,6-二甲基四氢吡喃-2-基)氧基-3,7,9,11,13-五甲基-1-氧杂-5-氮杂环十四烷-14-酮 |
| 英文名 |
10-(4-Dimethylamino-3-Hydroxy-6-Methyloxan-2-Yl)Oxy-2-Ethyl-3,9-Dihydroxy-12-(5-Hydroxy-4-Methoxy-4,6-Dimethyloxan-2-Yl)Oxy-3,7,9,11,13-Pentamethyl-1-Oxa-5-Azacyclotetradecan-14-One |
| 别名 |
10-(4-Dimethylamino-3-Hydroxy-6-Methyl-Tetrahydropyran-2-Yl)Oxy-2-Ethyl-3,9-Dihydroxy-12-(5-Hydroxy-4-Methoxy-4,6-Dimethyl-Tetrahydropyran-2-Yl)Oxy-3,7,9,11,13-Pentamethyl-1-Oxa-5-Azacyclotetradecan-14-One; 10-[(4-Dimethylamino-3-Hydroxy-6-Methyl-2-Tetrahydropyranyl)Oxy]-2-Ethyl-3,9-Dihydroxy-12-[(5-Hydroxy-4-Methoxy-4,6-Dimethyl-2-Tetrahydropyranyl)Oxy]-3,7,9,11,13-Pentamethyl-1-Oxa-5-Azacyclotetradecan-14-One; 10-(4-Dimethylamino-3-Hydroxy-6-Methyl-Oxan-2-Yl)Oxy-2-Ethyl-3,9-Dihydroxy-12-(5-Hydroxy-4-Methoxy-4,6-Dimethyl-Oxan-2-Yl)Oxy-3,7,9,11,13-Pentamethyl-1-Oxa-5-Azacyclotetradecan-14-One |
|
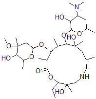
| 分子结构 |
 |
| 分子式 |
C35H66N2O11 |
| 分子量 |
690.91 |
| CAS 登录号 |
146763-21-5 |
| 分子行输入简码 SMILES |
C(C3OC(=O)C(C(OC1OC(C(O)C(OC)(C1)C)C)C(C(OC2OC(CC(N(C)C)C2O)C)C(O)(CC(CNCC3(O)C)C)C)C)C)C |
| 国际化学标识码 InChI |
1S/C35H66N2O11/c1-13-25-34(8,42)18-36-17-19(2)15-33(7,41)30(48-32-27(38)24(37(10)11)14-20(3)44-32)21(4)28(22(5)31(40)46-25)47-26-16-35(9,43-12)29(39)23(6)45-26/h19-30,32,36,38-39,41-42H,13-18H2,1-12H3 |
| 国际化学标识检索码 InChIKey |
ZTAQKCQVXVRTAZ-UHFFFAOYSA-N |
|