Online Database of Chemicals from Around the World

[2-[(2-氟-3-羟基十四烷酰基)氨基]-5,6-二羟基-1-氧代-4-膦酰氧基己烷-3-基]3-羟基十四烷酸酯
[CAS# 146452-52-0]

供应商
CAS#: 146452-52-0
产品: [2-[(2-氟-3-羟基十四烷酰基)氨基]-5,6-二羟基-1-氧代-4-膦酰氧基己烷-3-基]3-羟基十四烷酸酯
暂时没有厂家供应该产品。
基本信息
产品名称 [2-[(2-氟-3-羟基十四烷酰基)氨基]-5,6-二羟基-1-氧代-4-膦酰氧基己烷-3-基]3-羟基十四烷酸酯
英文名 [2-[(2-Fluoro-3-Hydroxytetradecanoyl)Amino]-5,6-Dihydroxy-1-Oxo-4-Phosphonooxyhexan-3-Yl] 3-Hydroxytetradecanoate
别名 [1-[1-[(2-Fluoro-3-Hydroxy-Tetradecanoyl)Amino]-2-Oxo-Ethyl]-3,4-Dihydroxy-2-Phosphonooxy-Butyl] 3-Hydroxytetradecanoate; 3-Hydroxytetradecanoic Acid [1-[1-[(2-Fluoro-3-Hydroxy-1-Oxotetradecyl)Amino]-2-Oxoethyl]-3,4-Dihydroxy-2-Phosphonooxybutyl] Ester; 3-Hydroxymyristic Acid [1-[1-[(2-Fluoro-3-Hydroxy-Tetradecanoyl)Amino]-2-Keto-Ethyl]-3,4-Dihydroxy-2-Phosphonooxy-Butyl] Ester
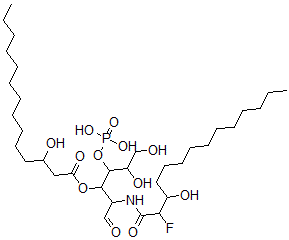
分子结构 CAS 登录号:146452-52-0, [2-[(2-氟-3-羟基十四烷酰基)氨基]-5,6-二羟基-1-氧代-4-膦酰氧基己烷-3-基]3-羟基十四烷酸酯
分子式 C34H65FNO12P
分子量 729.86
CAS 登录号 146452-52-0
分子行输入简码 SMILES C(C(O)CCCCCCCCCCC)C(OC(C(NC(C(C(O)CCCCCCCCCCC)F)=O)C=O)C(C(CO)O)O[P](O)(=O)O)=O
国际化学标识码 InChI 1S/C34H65FNO12P/c1-3-5-7-9-11-13-15-17-19-21-26(39)23-30(42)47-32(33(29(41)25-38)48-49(44,45)46)27(24-37)36-34(43)31(35)28(40)22-20-18-16-14-12-10-8-6-4-2/h24,26-29,31-33,38-41H,3-23,25H2,1-2H3,(H,36,43)(H2,44,45,46)
国际化学标识检索码 InChIKey ULIMTPICUVZAJC-UHFFFAOYSA-N
物理化学性质
密度 1.177g/cm3 (计算值)
市场分析报告
请浏览[2-[(2-氟-3-羟基十四烷酰基)氨基]-5,6-二羟基-1-氧代-4-膦酰氧基己烷-3-基]3-羟基十四烷酸酯市场分析报告总目录
相关产品
4-[(4-羟基-3-甲氧基苯基)亚甲基]-1-甲...  2-(乙烯基氧基)乙基甲基丙烯酸酯  二氯铂  4-羟基-3-[4-(1-羟基-2-甲基丙烷-2-...  亚硝酸根合高钴酸钠盐  N-2-丙炔基-苯甲酰胺  2-[[(十七氟辛基)磺酰基]甲基氨基]乙基甲基丙...  钠3-氨基丙烷磺酸酯  3-(羟基-甲氧基亚甲基)-2H-异喹啉-7,8-...  (3beta,4alpha,11alpha,16a...  N,N-二甲基-(2-溴乙基)肼溴化物  美法仑  4-甲基-N-(甲基磺酰基)-苯磺酰胺  N,N-二甲基-3-[2-(三氟甲基)吩噻嗪-10...  (2S,5R,6R)-3,3-二甲基-7-氧代-6...