Online Database of Chemicals from Around the World

(E,E,?)-5,16,21,32,33-Pentabromo-4,20-Dihydroxy-2,18-Dioxa-10,27-Diazapentacyclo(28.2.2.214,17.13,7.119,23)Octatriaconta-3,5,7(38),14,16,19,21,23(35),28,30,32,33,36-Tridecaene-11,12,25,26-Tetrone 12,15-Bis(O-Methyloxime)
[CAS# 146345-73-5]

Suppliers
CAS#: 146345-73-5
Product: (E,E,?)-5,16,21,32,33-Pentabromo-4,20-Dihydroxy-2,18-Dioxa-10,27-Diazapentacyclo(28.2.2.214,17.13,7.119,23)Octatriaconta-3,5,7(38),14,16,19,21,23(35),28,30,32,33,36-Tridecaene-11,12,25,26-Tetrone 12,15-Bis(O-Methyloxime)
No suppilers available for the product.
Identification
Name (E,E,?)-5,16,21,32,33-Pentabromo-4,20-Dihydroxy-2,18-Dioxa-10,27-Diazapentacyclo(28.2.2.214,17.13,7.119,23)Octatriaconta-3,5,7(38),14,16,19,21,23(35),28,30,32,33,36-Tridecaene-11,12,25,26-Tetrone 12,15-Bis(O-Methyloxime)
Synonyms Bastadin 14; 2,18-Dioxa-10,27-Diazapentacyclo(28.2.2.2(14,17),1(19,23))Octatriconta-3,5,7(38),14,16,19,21,23(35),28,30,32,33,36-Tridecaene-11,12,25,26-Tetrone, 5,16,21,32,33-Pentabromo-4,20-Dihydroxy-, 12,15-Bis(D-Methyloxime), (E,E,?)-
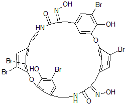
Molecular Structure CAS#: 146345-73-5, (E,E,?)-5,16,21,32,33-Pentabromo-4,20-Dihydroxy-2,18-Dioxa-10,27-Diazapentacyclo(28.2.2.214,17.13,7.119,23)Octatriaconta-3,5,7(38),14,16,19,21,23(35),28,30,32,33,36-Tridecaene-11,12,25,26-Tetrone 12,15-Bis(O-Methyloxime)
Molecular Formula C34H25Br5N4O8
Molecular Weight 1017.11
CAS Registry Number 146345-73-5
SMILES O=C3N\C=C/C5=CC(=C(OC1=CC(=CC(=C1O)Br)CCNC(=O)C(=N/O)/CC4=CC=C(OC2=CC(=CC(=C2O)Br)C\C3=N/O)C(=C4)Br)C(=C5)Br)Br
InChI 1S/C34H25Br5N4O8/c35-20-7-16-1-2-27(20)50-28-15-19(11-22(37)30(28)44)13-26(43-49)34(47)40-5-3-17-9-23(38)32(24(39)10-17)51-29-14-18(8-21(36)31(29)45)4-6-41-33(46)25(12-16)42-48/h1-3,5,7-11,14-15,44-45,48-49H,4,6,12-13H2,(H,40,47)(H,41,46)/b5-3-,42-25+,43-26+
InChIKey HXWATZFIMWEHEG-YUALJMAISA-N
Properties
Density 1.979g/cm3 (Cal.)
Market Analysis Reports
List of Reports Available for (E,E,?)-5,16,21,32,33-Pentabromo-4,20-Dihydroxy-2,18-Dioxa-10,27-Diazapentacyclo(28.2.2.214,17.13,7.119,23)Octatriaconta-3,5,7(38),14,16,19,21,23(35),28,30,32,33,36-Tridecaene-11,12,25,26-Tetrone 12,15-Bis(O-Methyloxime)
Related Products
Phenanthro[2,1-d]Thiazole  1,3-Bis(2-Propylpentanoyloxy)Propan-2-Yl...  3-(2-Bromoethyl)-N-(2-Chloroethyl)-2-Oxo...  4-Hydroxy-3-Methoxy-5-(3-Methylbut-2-Eny...  (2S,5S)-5-Amino-2-[[(2S)-2-Amino-3-[(5S)...  3-[(6R)-6-(Hydroxymethyl)-5-Oxo-2H-Pyran...  (E)-2,3-Dihydroxy-8-(6-Pentyloxan-2-Yl)O...  2-[2-[(3-Ethyl-5-Methoxybenzothiazol-2(3...  1-Dodecyl-2-Methylquinolin-1-Ium-4-Amine...  3,7-Dimethyl-1H-Indole-2-Carbaldehyde  6-Demethyl-6-Formylmitomycin C  Copper(II) Cyanide  2,2-Dimethylpropanoyloxymethyl (6R,7R)-3...  Diammonium Cerium(IV) Trisulphate  (S)-(+)-Isoproterenol L(+)-Bitartrate