Online Database of Chemicals from Around the World

9-[3-(Diaminomethylideneamino)Propyl]-2-Ethyl-12-[(1E,3E)-6-Methoxy-3,5-Dimethyl-7-Phenylhepta-1,3-Dienyl]-1,6,13-Trimethyl-3,7,10,14,19-Pentaoxo-1,4,8,11,15-Pentazacyclononadecane-5,16-Dicarboxylic Acid
[CAS# 146109-35-5]

Suppliers
CAS#: 146109-35-5
Product: 9-[3-(Diaminomethylideneamino)Propyl]-2-Ethyl-12-[(1E,3E)-6-Methoxy-3,5-Dimethyl-7-Phenylhepta-1,3-Dienyl]-1,6,13-Trimethyl-3,7,10,14,19-Pentaoxo-1,4,8,11,15-Pentazacyclononadecane-5,16-Dicarboxylic Acid
No suppilers available for the product.
Identification
Name 9-[3-(Diaminomethylideneamino)Propyl]-2-Ethyl-12-[(1E,3E)-6-Methoxy-3,5-Dimethyl-7-Phenylhepta-1,3-Dienyl]-1,6,13-Trimethyl-3,7,10,14,19-Pentaoxo-1,4,8,11,15-Pentazacyclononadecane-5,16-Dicarboxylic Acid
Synonyms 2-Ethyl-9-(3-Guanidinopropyl)-12-[(1E,3E)-6-Methoxy-3,5-Dimethyl-7-Phenyl-Hepta-1,3-Dienyl]-1,6,13-Trimethyl-3,7,10,14,19-Pentaoxo-1,4,8,11,15-Pentazacyclononadecane-5,16-Dicarboxylic Acid; 2-Ethyl-9-(3-Guanidinopropyl)-12-[(1E,3E)-6-Methoxy-3,5-Dimethyl-7-Phenylhepta-1,3-Dienyl]-1,6,13-Trimethyl-3,7,10,14,19-Pentaoxo-1,4,8,11,15-Pentazacyclononadecane-5,16-Dicarboxylic Acid; 2-Ethyl-9-(3-Guanidinopropyl)-3,7,10,14,19-Pentaketo-12-[(1E,3E)-6-Methoxy-3,5-Dimethyl-7-Phenyl-Hepta-1,3-Dienyl]-1,6,13-Trimethyl-1,4,8,11,15-Pentazacyclononadecane-5,16-Dicarboxylic Acid
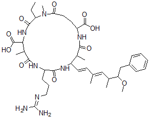
Molecular Structure CAS#: 146109-35-5, 9-[3-(Diaminomethylideneamino)Propyl]-2-Ethyl-12-[(1E,3E)-6-Methoxy-3,5-Dimethyl-7-Phenylhepta-1,3-Dienyl]-1,6,13-Trimethyl-3,7,10,14,19-Pentaoxo-1,4,8,11,15-Pentazacyclononadecane-5,16-Dicarboxylic Acid
Molecular Formula C41H62N8O10
Molecular Weight 826.99
CAS Registry Number 146109-35-5
SMILES C2=C(CC(OC)C(/C=C(/C=C/C1NC(=O)C(NC(=O)C(C(NC(=O)C(N(C(=O)CCC(NC(=O)C1C)C(O)=O)C)CC)C(O)=O)C)CCCN=C(N)N)C)C)C=CC=C2
InChI 1S/C41H62N8O10/c1-8-31-38(54)48-34(40(57)58)26(5)36(52)46-29(15-12-20-44-41(42)43)37(53)45-28(25(4)35(51)47-30(39(55)56)18-19-33(50)49(31)6)17-16-23(2)21-24(3)32(59-7)22-27-13-10-9-11-14-27/h9-11,13-14,16-17,21,24-26,28-32,34H,8,12,15,18-20,22H2,1-7H3,(H,45,53)(H,46,52)(H,47,51)(H,48,54)(H,55,56)(H,57,58)(H4,42,43,44)/b17-16+,23-21+
InChIKey RLFXWEJNSCUBRW-ASMFZGAFSA-N
Properties
Density 1.298g/cm3 (Cal.)
Market Analysis Reports
List of Reports Available for 9-[3-(Diaminomethylideneamino)Propyl]-2-Ethyl-12-[(1E,3E)-6-Methoxy-3,5-Dimethyl-7-Phenylhepta-1,3-Dienyl]-1,6,13-Trimethyl-3,7,10,14,19-Pentaoxo-1,4,8,11,15-Pentazacyclononadecane-5,16-Dicarboxylic Acid
Related Products
3,5-Dichloro-4-Hydroxyphenyl Thiocyanate  (2S,4S,5R,6R)-5-Acetamido-6-[(1R,2R)-3-A...  N,N,N-trimethyl-1H-Purin-6-aminium hydro...  (R)-1-Methyl-5-(1-Methylvinyl)Cyclohexen...  1,4-Bis[2-(4-Pyridyl)Ethyl]Piperazine  Magnesium Clofibrate  Tert-Butyl 8-Chloro-5-Methyl-6-Oxo-4H-Im...  Methyl 4-methoxy-1-benzothiophene-2-carb...  (3beta)-14-Hydroxy-19-oxo-3-(beta-D-xylo...  (3R)-3-[[2-[(3R)-2-Oxo-3-(2-Piperidin-4-...  [5-(6-Aminopurin-9-Yl)-3,4-Dihydroxyoxol...  Propan-2-Yl (1R,2S,3S)-3-(4-Iodophenyl)-...  Phenyl (1R)-3-(4-Iodophenyl)-8-Methyl-8-...  (2S)-6-Amino-2-[[(2S,3S)-2-[[(2S)-2-Amin...  4-(2,4-Dimethoxyphenyl)-4-Oxo-Butanoic A...