Online Database of Chemicals from Around the World

4,6-O-3-氧代亚丁基麦芽五糖
[CAS# 145932-53-2]

供应商
CAS#: 145932-53-2
产品: 4,6-O-3-氧代亚丁基麦芽五糖
暂时没有厂家供应该产品。
基本信息
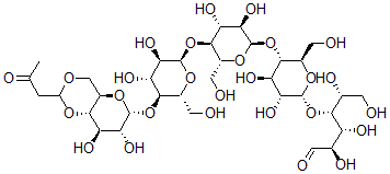
产品名称 4,6-O-3-氧代亚丁基麦芽五糖
英文名 4,6-O-3-Ketobutylidene maltopentaose
别名 (2R,3R,4R,5R)-4-[(2R,3R,4R,5S,6R)-5-[(2R,3R,4R,5S,6R)-5-[(2R,3R,4R,5S,6R)-5-[[(4Ar,6R,7R,8R,8As)-2-Acetonyl-7,8-Dihydroxy-4,4A,6,7,8,8A-Hexahydropyrano[5,6-D][1,3]Dioxin-6-Yl]Oxy]-3,4-Dihydroxy-6-(Hydroxymethyl)Tetrahydropyran-2-Yl]Oxy-3,4-Dihydroxy-6-(Hydroxymethyl)Tetrahydropyran-2-Yl]Oxy-3,4-Dihydroxy-6-(Hydroxymethyl)Tetrahydropyran-2-Yl]Oxy-2,3,5,6-Tetrahydroxy-Hexanal; (2R,3R,4R,5R)-4-[[(2R,3R,4R,5S,6R)-5-[[(2R,3R,4R,5S,6R)-5-[[(2R,3R,4R,5S,6R)-5-[[(4Ar,6R,7R,8R,8As)-2-Acetonyl-7,8-Dihydroxy-4,4A,6,7,8,8A-Hexahydropyrano[5,6-D][1,3]Dioxin-6-Yl]Oxy]-3,4-Dihydroxy-6-(Hydroxymethyl)-2-Tetrahydropyranyl]Oxy]-3,4-Dihydroxy-6-(Hydroxymethyl)-2-Tetrahydropyranyl]Oxy]-3,4-Dihydroxy-6-(Hydroxymethyl)-2-Tetrahydropyranyl]Oxy]-2,3,5,6-Tetrahydroxyhexanal; (2R,3R,4R,5R)-4-[(2R,3R,4R,5S,6R)-5-[(2R,3R,4R,5S,6R)-5-[(2R,3R,4R,5S,6R)-5-[[(4Ar,6R,7R,8R,8As)-2-Acetonyl-7,8-Dihydroxy-4,4A,6,7,8,8A-Hexahydropyrano[5,6-D][1,3]Dioxin-6-Yl]Oxy]-3,4-Dihydroxy-6-Methylol-Tetrahydropyran-2-Yl]Oxy-3,4-Dihydroxy-6-Methylol-Tetrahydropyran-2-Yl]Oxy-3,4-Dihydroxy-6-Methylol-Tetrahydropyran-2-Yl]Oxy-2,3,5,6-Tetrahydroxy-Hexanal
分子结构 CAS 登录号:145932-53-2, 4,6-O-3-氧代亚丁基麦芽五糖
分子式 C34H56O27
分子量 896.80
CAS 登录号 145932-53-2
分子行输入简码 SMILES [C@@H]15OC(OC[C@H]1O[C@H](O[C@H]4[C@H](O)[C@@H](O)[C@@H](O[C@H]3[C@H](O)[C@@H](O)[C@@H](O[C@H]2[C@H](O)[C@@H](O)[C@H](O[C@@H]2CO)O[C@@H]([C@H](O)[C@@H](O)C=O)[C@H](O)CO)O[C@@H]3CO)O[C@@H]4CO)[C@H](O)[C@H]5O)CC(=O)C
国际化学标识码 InChI 1S/C34H56O27/c1-9(40)2-16-52-8-15-30(57-16)21(47)25(51)34(56-15)61-29-14(7-39)55-33(24(50)20(29)46)60-28-13(6-38)54-32(23(49)19(28)45)59-27-12(5-37)53-31(22(48)18(27)44)58-26(11(42)4-36)17(43)10(41)3-35/h3,10-34,36-39,41-51H,2,4-8H2,1H3/t10-,11+,12+,13+,14+,15+,16?,17+,18+,19+,20+,21+,22+,23+,24+,25+,26+,27+,28+,29+,30+,31+,32+,33+,34+/m0/s1
国际化学标识检索码 InChIKey RIIUMFRKVWMIQP-PLTJGBMKSA-N
市场分析报告
请浏览4,6-O-3-氧代亚丁基麦芽五糖市场分析报告总目录
相关产品
4-叔-丁基-2-氯-6-硝基苯酚  1-(4-羟基-3-甲氧基苯基)-3-氧代癸烷-5...  [(2R,4R,5S,6R)-3,3,4,5-四羟...  3-[(2S,3R,4S,5R,6R)-4,5-二...  环庚烷甲酰胺  1-(3-溴丙氧基)-2-氟苯  顺式-4-环十五碳烯-1-酮  (苯基亚甲基)三(三甲基-硅烷  三甲基-(苯基-三甲基硅烷基-甲基)硅烷  3-羟基-7H-嘌呤-6-硫酮  镅-241  铁59  磷32  3,4-二甲氧基苄基异硫氰酸酯  1-乙基吡啶-5-甲酰胺氯化物