Identification
| Classification |
Organic raw materials >> Carboxylic compounds and derivatives >> Salt of carboxylic acid ester and its derivatives |
| Name |
Neodymium Ethanedioate (2:3) |
| Synonyms |
neodymium ethanedioate(2:3); NEODYMIUM OXALATE; Neodymium, (μ-(ethanedioato(2-)-κO1,κO2':κO1',κO2))bis(ethanedioato(2-)-κO1,κO2)di- |
|
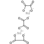
| Molecular Structure |
 |
| Molecular Formula |
C6Nd2O12 |
| Molecular Weight |
552.54 |
| CAS Registry Number |
14551-74-7 |
| SMILES |
[Nd+3].[Nd+3].O=C([O-])C([O-])=O.[O-]C(=O)C([O-])=O.[O-]C(=O)C([O-])=O |
| InChI |
1S/3C2H2O4.2Nd/c3*3-1(4)2(5)6;;/h3*(H,3,4)(H,5,6);;/q;;;2*+3/p-6 |
| InChIKey |
VKLDOHAGZQSOPP-UHFFFAOYSA-H |
|