Online Database of Chemicals from Around the World

L-半胱氨酰-L-酪氨酰-L-异亮氨酰甘氨酰-L-丝氨酰-L-精氨酰-L-酪氨酰-L-异亮氨酰甘氨酰-L-丝氨酰-L-精氨酰-L-酪氨酰-L-异亮氨酰甘氨酰-L-丝氨酰-L-精氨酰胺
[CAS# 145194-33-8]

供应商
CAS#: 145194-33-8
产品: L-半胱氨酰-L-酪氨酰-L-异亮氨酰甘氨酰-L-丝氨酰-L-精氨酰-L-酪氨酰-L-异亮氨酰甘氨酰-L-丝氨酰-L-精氨酰-L-酪氨酰-L-异亮氨酰甘氨酰-L-丝氨酰-L-精氨酰胺
暂时没有厂家供应该产品。
基本信息
产品名称 L-半胱氨酰-L-酪氨酰-L-异亮氨酰甘氨酰-L-丝氨酰-L-精氨酰-L-酪氨酰-L-异亮氨酰甘氨酰-L-丝氨酰-L-精氨酰-L-酪氨酰-L-异亮氨酰甘氨酰-L-丝氨酰-L-精氨酰胺
英文名 L-Cysteinyl-L-tyrosyl-L-isoleucylglycyl-L-seryl-L-arginyl-L-tyrosyl-L-isoleucylglycyl-L-seryl-L-arginyl-L-tyrosyl-L-isoleucylglycyl-L-seryl-L-argininamide
别名 L-Argininamide, L-Cysteinyl-L-Tyrosyl-L-Isoleucylglycyl-L-Seryl-L-Arginyl-L-Tyrosyl-L-Isoleucylglycyl-L-Seryl-L-Arginyl-L-Tyrosyl-L-Isoleucylglycyl-L-Seryl-; L-Cysteinyl-L-Tyrosyl-L-Isoleucylglycyl-L-Seryl-L-Arginyl-L-Tyrosyl-L-Isoleucylglycyl-L-Seryl-L-Arginyl-L-Tyrosyl-L-Isoleucylglycyl-L-Seryl-L-Argininamide
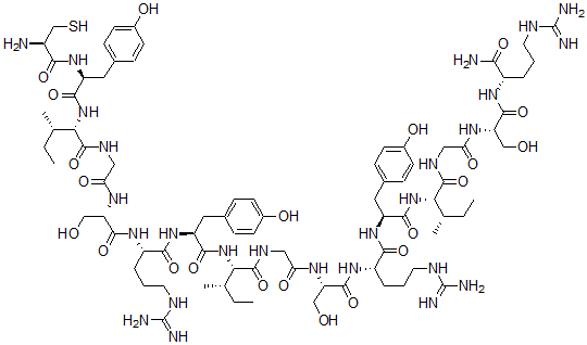
分子结构 CAS 登录号:145194-33-8, L-半胱氨酰-L-酪氨酰-L-异亮氨酰甘氨酰-L-丝氨酰-L-精氨酰-L-酪氨酰-L-异亮氨酰甘氨酰-L-丝氨酰-L-精氨酰-L-酪氨酰-L-异亮氨酰甘氨酰-L-丝氨酰-L-精氨酰胺
分子式 C81H128N26O22S
分子量 1850.12
CAS 登录号 145194-33-8
分子行输入简码 SMILES [C@@H](NC([C@@H](NC(CNC([C@@H](NC([C@@H](NC([C@@H](NC([C@@H](NC(CNC([C@@H](NC([C@@H](NC([C@@H](NC([C@@H](NC(CNC([C@@H](NC([C@@H](NC([C@@H](N)CS)=O)CC1=CC=C(C=C1)O)=O)[C@@H](C)CC)=O)=O)CO)=O)CCCNC(N)=N)=O)CC2=CC=C(C=C2)O)=O)[C@@H](C)CC)=O)=O)CO)=O)CCCNC(N)=N)=O)CC3=CC=C(C=C3)O)=O)[C@@H](C)CC)=O)=O)CO)=O)(C(=O)N)CCCNC(N)=N
国际化学标识码 InChI 1S/C81H128N26O22S/c1-7-41(4)63(105-70(121)54(102-67(118)50(82)40-130)31-44-16-22-47(111)23-17-44)76(127)94-35-61(115)97-58(38-109)74(125)100-52(14-11-29-91-80(86)87)69(120)104-56(33-46-20-26-49(113)27-21-46)72(123)107-65(43(6)9-3)78(129)95-36-62(116)98-59(39-110)75(126)101-53(15-12-30-92-81(88)89)68(119)103-55(32-45-18-24-48(112)25-19-45)71(122)106-64(42(5)8-2)77(128)93-34-60(114)96-57(37-108)73(124)99-51(66(83)117)13-10-28-90-79(84)85/h16-27,41-43,50-59,63-65,108-113,130H,7-15,28-40,82H2,1-6H3,(H2,83,117)(H,93,128)(H,94,127)(H,95,129)(H,96,114)(H,97,115)(H,98,116)(H,99,124)(H,100,125)(H,101,126)(H,102,118)(H,103,119)(H,104,120)(H,105,121)(H,106,122)(H,107,123)(H4,84,85,90)(H4,86,87,91)(H4,88,89,92)/t41-,42-,43-,50-,51-,52-,53-,54-,55-,56-,57-,58-,59-,63-,64-,65-/m0/s1
国际化学标识检索码 InChIKey NYGUKCMZBVVHAD-XRUGSSGGSA-N
市场分析报告
请浏览L-半胱氨酰-L-酪氨酰-L-异亮氨酰甘氨酰-L-丝氨酰-L-精氨酰-L-酪氨酰-L-异亮氨酰甘氨酰-L-丝氨酰-L-精氨酰-L-酪氨酰-L-异亮氨酰甘氨酰-L-丝氨酰-L-精氨酰胺市场分析报告总目录
相关产品
2-(二甲基氨基-氟磷酰)-N,N-二甲基乙胺  噻吩-2,3-二羧酸  1-乙酰基-N-[1-[(1-甲基氨基-1-氧代丙...  (3R,4S,5R,6R)-2-氨基-6-(羟基甲...  [4-[4-[(2-氨基-4,5-二氢-1,3-恶...  5-[[4-(4-丙-2-基氧基苯基)哌嗪-1-基...  (2R,3S,4R,5R)-6-羟基-2,3,4,...  (2R,3S,4R,5R)-2,3,4,5,6-五...  吡哆醛磷酸酯gamma-谷氨酰腙  2-丙-2-烯氧基苯甲酰胺  锂钾硫酸盐  钌五氟化物  4'-去甲基氨基-4'-羟基-3'-表十字孢碱  四(五氟苯基)锗烷  5-[(3,5-二丁基-1,2,4-三唑-1-基)...