Online Database of Chemicals from Around the World

[2-[(2S)-2-氨基-3-[4-[二(2-氯乙基)氨基]苯基]丙酰]氧基-3-棕榈酰氧基丙基]棕榈酸酯
[CAS# 144558-52-1]

供应商
CAS#: 144558-52-1
产品: [2-[(2S)-2-氨基-3-[4-[二(2-氯乙基)氨基]苯基]丙酰]氧基-3-棕榈酰氧基丙基]棕榈酸酯
暂时没有厂家供应该产品。
基本信息
产品名称 [2-[(2S)-2-氨基-3-[4-[二(2-氯乙基)氨基]苯基]丙酰]氧基-3-棕榈酰氧基丙基]棕榈酸酯
英文名 [2-[(2S)-2-Amino-3-[4-[Bis(2-Chloroethyl)Amino]Phenyl]Propanoyl]Oxy-3-Hexadecanoyloxypropyl] Hexadecanoate
别名 [2-[(2S)-2-Amino-3-[4-[Bis(2-Chloroethyl)Amino]Phenyl]Propanoyl]Oxy-3-Hexadecanoyloxy-Propyl] Hexadecanoate; Hexadecanoic Acid [2-[(2S)-2-Amino-3-[4-[Bis(2-Chloroethyl)Amino]Phenyl]-1-Oxopropoxy]-3-(1-Oxohexadecoxy)Propyl] Ester; Palmitic Acid [2-[(2S)-2-Amino-3-[4-[Bis(2-Chloroethyl)Amino]Phenyl]Propanoyl]Oxy-3-Hexadecanoyloxy-Propyl] Ester
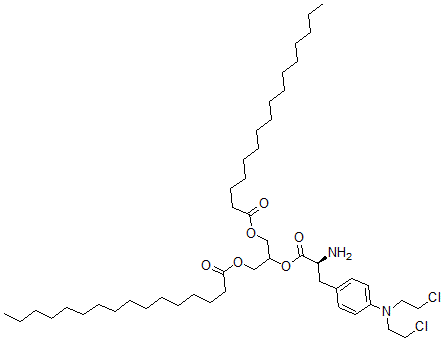
分子结构 CAS 登录号:144558-52-1, [2-[(2S)-2-氨基-3-[4-[二(2-氯乙基)氨基]苯基]丙酰]氧基-3-棕榈酰氧基丙基]棕榈酸酯
分子式 C48H84Cl2N2O6
分子量 856.11
CAS 登录号 144558-52-1
分子行输入简码 SMILES [C@H](C(=O)OC(COC(CCCCCCCCCCCCCCC)=O)COC(CCCCCCCCCCCCCCC)=O)(N)CC1=CC=C(C=C1)N(CCCl)CCCl
国际化学标识码 InChI 1S/C48H84Cl2N2O6/c1-3-5-7-9-11-13-15-17-19-21-23-25-27-29-46(53)56-40-44(41-57-47(54)30-28-26-24-22-20-18-16-14-12-10-8-6-4-2)58-48(55)45(51)39-42-31-33-43(34-32-42)52(37-35-49)38-36-50/h31-34,44-45H,3-30,35-41,51H2,1-2H3/t45-/m0/s1
国际化学标识检索码 InChIKey NBKIVYGYYZKPLC-GWHBCOKCSA-N
物理化学性质
密度 1.038g/cm3 (计算值)
沸点 813.705°C at 760 mmHg (计算值)
闪点 445.913°C (计算值)
市场分析报告
请浏览[2-[(2S)-2-氨基-3-[4-[二(2-氯乙基)氨基]苯基]丙酰]氧基-3-棕榈酰氧基丙基]棕榈酸酯市场分析报告总目录
相关产品
1-(3-苯基-1,2-恶唑-5-基)-2-(吡咯...  2-丙基甲基氯膦酸酯  二(羟基-甲氧基磷酰)(E)-丁-2-烯二酸酯  硫氢化硼  2,5-二苯基噻吩  四甲基对苯二甲酸  2-((4-氯苯基)偶氮)吡啶  螺[吖啶-9(10H),1'-环己烷]  (1H)-苯并[b]芴  N-(3-甲氧基苯基)-7-甲基-1H-吡啶并[2...  钼氟化物氧化物  (4-硝基苯基)N-[1-[(2S)-1-[(2S...  O-alpha-D-吡喃葡糖醛酸基细菌何帕烷四醇  N-(1,3-二噻戊环-2-亚基氨基)乙酰胺  N-(1,3-二噻戊环-2-亚基氨基)-2-氧代丙...