Online Database of Chemicals from Around the World

原焦脱镁叶绿酸A
[CAS# 14409-87-1]

供应商
CAS#: 14409-87-1
产品: 原焦脱镁叶绿酸A
暂时没有厂家供应该产品。
基本信息
产品名称 原焦脱镁叶绿酸A
英文名 Pyropheophytin A
别名 3-Phorbinepropanoic Acid, 9-Ethenyl-14-Ethyl-4,8,13,18-Tetramethyl-20-Oxo-, 3,7,11,15-Tetramethyl-2-Hexadecenyl Ester, (3S-(3Alpha(2E,7S*,11S*),4Beta))-
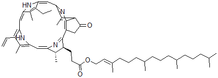
分子结构 CAS 登录号:14409-87-1, 原焦脱镁叶绿酸A
分子式 C53H72N4O3
分子量 813.18
CAS 登录号 14409-87-1
分子行输入简码 SMILES [C@@H]2([C@@H](C3=CC1=C(C(=C([NH]1)C=C6[NH]C(=CC5=NC4=C(C2=N3)CC(=O)C4=C5C)C(=C6C)CC)C=C)C)C)CCC(OC/C=C(/CCCC(CCCC(CCCC(C)C)C)C)C)=O
国际化学标识码 InChI 1S/C53H72N4O3/c1-12-39-35(8)43-28-45-37(10)41(23-24-50(59)60-26-25-34(7)22-16-21-33(6)20-15-19-32(5)18-14-17-31(3)4)52(56-45)42-27-49(58)51-38(11)46(57-53(42)51)30-48-40(13-2)36(9)44(55-48)29-47(39)54-43/h12,25,28-33,37,41,54-55H,1,13-24,26-27H2,2-11H3/b34-25+,43-28?,44-29?,45-28?,46-30?,47-29?,48-30?,52-42?/t32?,33?,37-,41-/m0/s1
国际化学标识检索码 InChIKey QHXDJDSLHFMJCS-KJMNNOFDSA-N
市场分析报告
请浏览原焦脱镁叶绿酸A市场分析报告总目录
相关产品
八-缬氨霉素  五氯苯酚乙酸酯  2-[[(3S,10R,13R,17R)-10,1...  2,2,3,4,4-五氟氧杂环丁烷  12,13,14,14alpha-四氢-13-乙酰...  1-硝基-2-苯基磺酰基苯  刺嫩芽皂甙F  Ball Peptide Bp  血管活性肠肽(1-11)  替莫碘胺  吡啶-3-基甲基N-[(2S,4S,5S)-4-羟...  1-[2-(4-氨基苯基)乙基]-4-苯基哌啶-4...  1,2,3-三(2-乙基己基)2-乙酰基氧基丙烷-...  迪汞林  (3S)-3-[[2-[[(2S)-2-氨基-5-...