Online Database of Chemicals from Around the World

Pneumocandin D(0)
[CAS# 144087-99-0]

Suppliers
CAS#: 144087-99-0
Product: Pneumocandin D(0)
No suppilers available for the product.
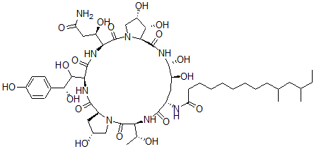
Identification
Name Pneumocandin D(0)
Synonyms Aids027829; Pneumocandin Do; Pneumocandin D(0)
Molecular Structure CAS#: 144087-99-0, Pneumocandin D(0)
Molecular Formula C50H80N8O18
Molecular Weight 1081.22
CAS Registry Number 144087-99-0
SMILES [C@@H]14N(C(=O)[C@@H](NC(=O)[C@@H](NC(=O)[C@H]2N(C(=O)[C@@H](NC(=O)[C@@H](NC(=O)CCCCCCCCC(CC(CC)C)C)C[C@H](O)[C@@H](O)NC1=O)[C@H](O)C)C[C@H](O)C2)C(O)[C@H](O)C3=CC=C(O)C=C3)[C@H](O)CC(=O)N)C[C@H](O)[C@@H]4O
InChI 1S/C50H80N8O18/c1-5-24(2)18-25(3)12-10-8-6-7-9-11-13-36(66)52-30-20-33(63)46(72)56-48(74)40-42(68)34(64)23-58(40)50(76)38(32(62)21-35(51)65)54-47(73)39(43(69)41(67)27-14-16-28(60)17-15-27)55-45(71)31-19-29(61)22-57(31)49(75)37(26(4)59)53-44(30)70/h14-17,24-26,29-34,37-43,46,59-64,67-69,72H,5-13,18-23H2,1-4H3,(H2,51,65)(H,52,66)(H,53,70)(H,54,73)(H,55,71)(H,56,74)/t24?,25?,26-,29-,30+,31+,32-,33+,34+,37+,38+,39+,40+,41-,42+,43?,46-/m1/s1
InChIKey QDHVQAJPCGRBRI-ULQDJTMQSA-N
Market Analysis Reports
List of Reports Available for Pneumocandin D(0)
Related Products
Bis(2-chloroethyl)ammonium hexachlorosta...  [(1,1-dioxo-3-thiolanyl)amino]methanedit...  Tetralithium Naphthalene-1,4,5,8-Tetraca...  2-[(4-Methoxyphenyl)Methyl]-3,4-Dimethyl...  3,4-Dimethyl-2-(Thiophen-2-Ylmethyl)Pyra...  ((2,3,7,8,12,13,17,18)-Octaethylporphina...  Bis(N,N-Dimethylamino)-Pentachloro-Pheny...  Pyropheophytin A  Octa-Valinomycin  Pentachlorophenol Acetate  2-[[(3S,10R,13R,17R)-10,13-Dimethyl-17-[...  2,2,3,4,4-Pentafluorooxetane  12,13,14,14alpha-Tetrahydro-13-Acetyl-9H...  1-Nitro-2-Phenylsulfonylbenzene  Elatoside F