Online Database of Chemicals from Around the World

3-[[(13E,15Z,21E,23E)-19-[(E)-10-[(N,N'-Dimethylcarbamimidoyl)Amino]Dec-6-En-2-Yl]-1,3,7,9,11,25,27,29,35,36-Decahydroxy-4,8,12,20,24,26-Hexamethyl-17-Oxo-18,37-Dioxabicyclo[31.3.1]Heptatriaconta-13,15,21,23-Tetraen-31-Yl]Oxy]-3-Oxopropanoic Acid
[CAS# 143906-45-0]

Suppliers
CAS#: 143906-45-0
Product: 3-[[(13E,15Z,21E,23E)-19-[(E)-10-[(N,N'-Dimethylcarbamimidoyl)Amino]Dec-6-En-2-Yl]-1,3,7,9,11,25,27,29,35,36-Decahydroxy-4,8,12,20,24,26-Hexamethyl-17-Oxo-18,37-Dioxabicyclo[31.3.1]Heptatriaconta-13,15,21,23-Tetraen-31-Yl]Oxy]-3-Oxopropanoic Acid
No suppilers available for the product.
Identification
Name 3-[[(13E,15Z,21E,23E)-19-[(E)-10-[(N,N'-Dimethylcarbamimidoyl)Amino]Dec-6-En-2-Yl]-1,3,7,9,11,25,27,29,35,36-Decahydroxy-4,8,12,20,24,26-Hexamethyl-17-Oxo-18,37-Dioxabicyclo[31.3.1]Heptatriaconta-13,15,21,23-Tetraen-31-Yl]Oxy]-3-Oxopropanoic Acid
Synonyms 3-[[(13E,15Z,21E,23E)-19-[(E)-9-[(N,N'-Dimethylcarbamimidoyl)Amino]-1-Methyl-Non-5-Enyl]-1,3,7,9,11,25,27,29,35,36-Decahydroxy-4,8,12,20,24,26-Hexamethyl-17-Oxo-18,37-Dioxabicyclo[31.3.1]Heptatriaconta-13,15,21,23-Tetraen-31-Yl]Oxy]-3-Oxo-Propanoic Acid; 3-[[(13E,15Z,21E,23E)-1,3,7,9,11,25,27,29,35,36-Decahydroxy-4,8,12,20,24,26-Hexamethyl-19-[(E)-1-Methyl-9-[(Methylamino-Methyliminomethyl)Amino]Non-5-Enyl]-17-Oxo-18,37-Dioxabicyclo[31.3.1]Heptatriaconta-13,15,21,23-Tetraen-31-Yl]Oxy]-3-Oxopropanoic Acid; 3-[[(13E,15Z,21E,23E)-19-[(E)-9-[(N,N'-Dimethylcarbamimidoyl)Amino]-1-Methyl-Non-5-Enyl]-1,3,7,9,11,25,27,29,35,36-Decahydroxy-17-Keto-4,8,12,20,24,26-Hexamethyl-18,37-Dioxabicyclo[31.3.1]Heptatriaconta-13,15,21,23-Tetraen-31-Yl]Oxy]-3-Keto-Propionic Acid
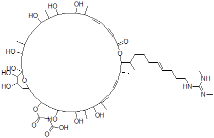
Molecular Structure CAS#: 143906-45-0, 3-[[(13E,15Z,21E,23E)-19-[(E)-10-[(N,N'-Dimethylcarbamimidoyl)Amino]Dec-6-En-2-Yl]-1,3,7,9,11,25,27,29,35,36-Decahydroxy-4,8,12,20,24,26-Hexamethyl-17-Oxo-18,37-Dioxabicyclo[31.3.1]Heptatriaconta-13,15,21,23-Tetraen-31-Yl]Oxy]-3-Oxopropanoic Acid
Molecular Formula C57H97N3O17
Molecular Weight 1096.40
CAS Registry Number 143906-45-0
SMILES C(C(OC2CC1OC(O)(C(O)C(O)C1)CC(O)C(CCC(O)C(C(O)CC(O)C(C)\C=C\C=C/C(OC(C(CCC\C=C\CCCNC(NC)=NC)C)C(\C=C\C=C(C(O)C(C(O)CC(O)C2)C)/C)C)=O)C)C)=O)C(O)=O
InChI 1S/C57H97N3O17/c1-34-19-15-16-23-51(70)76-54(37(4)20-14-12-10-11-13-17-26-60-56(58-8)59-9)38(5)22-18-21-36(3)53(72)40(7)46(64)28-41(61)27-42(75-52(71)32-50(68)69)29-43-30-48(66)55(73)57(74,77-43)33-49(67)35(2)24-25-44(62)39(6)47(65)31-45(34)63/h10-11,15-16,18-19,21-23,34-35,37-49,53-55,61-67,72-74H,12-14,17,20,24-33H2,1-9H3,(H,68,69)(H2,58,59,60)/b11-10+,19-15+,22-18+,23-16-,36-21+
InChIKey FTSHIRULWVXAOC-RKGHMIIGSA-N
Market Analysis Reports
List of Reports Available for 3-[[(13E,15Z,21E,23E)-19-[(E)-10-[(N,N'-Dimethylcarbamimidoyl)Amino]Dec-6-En-2-Yl]-1,3,7,9,11,25,27,29,35,36-Decahydroxy-4,8,12,20,24,26-Hexamethyl-17-Oxo-18,37-Dioxabicyclo[31.3.1]Heptatriaconta-13,15,21,23-Tetraen-31-Yl]Oxy]-3-Oxopropanoic Acid
Related Products
3-[[(13E,15Z,21E,23E)-1,3,7,9,11,25,27,2...  Tellurium125  Magnesium [2-[Methyl-[(3E,7E)-4,8,12-Tri...  Gallium69  Holmium  Rhenium187  Tropenziline Bromide  2-Methyl-1-Nitro-3-Nitrosobenzene  (3-Amino-2-Methylphenyl)-(3-Amino-2-Meth...  3-(3-Amino-2-Methylphenyl)Diazenyl-2-Met...  (3-Acetyl-4-Amino-2-Methylphenyl)-(3-Ace...  1-[3-(3-Acetyl-4-Amino-2-Methylphenyl)Di...  4H-Cyclopenta(Def)Chrysen-4-Ol  4-Hydroxynonanophenone  N-Butan-2-Yl-1-[5-[(3',6'-Dihydroxy-3-Ox...