Online Database of Chemicals from Around the World

朱砂根二萜
[CAS# 143016-77-7]

供应商
CAS#: 143016-77-7
产品: 朱砂根二萜
暂时没有厂家供应该产品。
基本信息
产品名称 朱砂根二萜
英文名 Ardicrenin
别名 Cyclamiretin A-3-O-(Alpha-L-Rhamnopyranosyl-(1-4)-Beta-D-Glucopyranosyl-(1-4))(Beta-D-Glucopyranosyl-(1-2))-Alpha-L-Arabinopyranoside; Oleanan-29-Al, 3-((O-6-Deoxy-Alpha-L-Mannopyranosyl-(1-4)-O-Beta-D-Glucopyranosyl-(1-4)-O-(Beta-D-Glucopyranosyl-(1-2))-Alpha-L-Arabinopyranosyl)Oxy)-13,28-Epoxy-22-Hydroxy-, (3Beta,20Beta,22Alpha)-
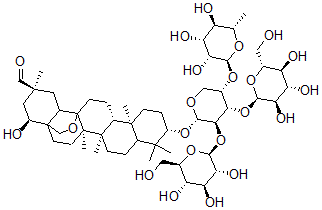
分子结构 CAS 登录号:143016-77-7, 朱砂根二萜
分子式 C53H86O22
分子量 1075.25
CAS 登录号 143016-77-7
分子行输入简码 SMILES [C@@]34(C1(OCC2(C1C[C@@](C[C@@H]2O)(C=O)C)CC3)CC[C@H]5[C@]4(CCC%10[C@@]5(CC[C@H](O[C@@H]8OC[C@H](O[C@@H]6O[C@H]([C@H](O)[C@@H](O)[C@H]6O)C)[C@H](O[C@H]7O[C@@H]([C@@H](O)[C@H](O)[C@H]7O)CO)[C@H]8O[C@@H]9O[C@@H]([C@@H](O)[C@H](O)[C@H]9O)CO)C%10(C)C)C)C)C
国际化学标识码 InChI 1S/C53H86O22/c1-23-32(58)35(61)38(64)43(69-23)72-26-20-67-46(42(75-45-40(66)37(63)34(60)25(19-55)71-45)41(26)74-44-39(65)36(62)33(59)24(18-54)70-44)73-31-10-11-49(5)27(47(31,2)3)8-12-50(6)28(49)9-13-53-29-16-48(4,21-56)17-30(57)52(29,22-68-53)15-14-51(50,53)7/h21,23-46,54-55,57-66H,8-20,22H2,1-7H3/t23-,24+,25+,26-,27?,28+,29?,30-,31-,32-,33+,34+,35+,36-,37-,38+,39+,40+,41-,42+,43-,44+,45-,46-,48-,49-,50+,51-,52?,53?/m0/s1
国际化学标识检索码 InChIKey AWHOLZVUVDYTBG-AZDDWXAASA-N
物理化学性质
密度 1.468g/cm3 (计算值)
市场分析报告
请浏览朱砂根二萜市场分析报告总目录
相关产品
2,3-二[10-[(2E,4E)-己-2,4-二...  2,3-二(二十三碳-10,12-二炔氧基)丙基2...  [(2R)-1-[羟基-[2-[(2-羟基萘-1-...  3-氨基-1-丙醇盐酸盐  汞(II)  十七烷基硫酸氢酯  肉豆蔻酸丙基酯  N-[(2S)-3-[二(4-甲氧基苯基)-苯基甲...  碲123  剑麻皂素-3-O-beta-D-吡喃葡萄糖基(1-...  剑麻皂素 3-O-beta-D-吡喃葡萄糖基(1-...  5-烯丙基-5-(beta-羟基丙基)-N-苯基巴...  alpha-烯丙基-alpha-脲甲酰基-gamm...  1,3-二甲基-5-硝基-巴比妥酸  [(2S)-2,3-二(二十三碳-10,12-二炔...