Online Database of Chemicals from Around the World

Rotihibin A
[CAS# 142689-34-7]

Suppliers
CAS#: 142689-34-7
Product: Rotihibin A
No suppilers available for the product.
Identification
Name Rotihibin A
Synonyms (2S,3S)-N'-[2-Amino-4-[[(2S,3S)-2-Amino-3-Hydroxy-Butanoyl]Amino]Butanoyl]-N'-[(1S)-3-Amino-1-(Hydroxymethyl)-3-Oxo-Propyl]-3-[[(2S)-2-[[(2R)-2-[[(Z)-Dec-2-Enoyl]Amino]-5-Ureido-Pentanoyl]Amino]-3-Hydroxy-Propanoyl]Amino]-2-Hydroxy-Butanediamide; (2S,3S)-N'-[2-Amino-4-[[(2S,3S)-2-Amino-3-Hydroxy-1-Oxobutyl]Amino]-1-Oxobutyl]-N'-[(1S)-3-Amino-1-(Hydroxymethyl)-3-Oxopropyl]-2-Hydroxy-3-[[(2S)-3-Hydroxy-1-Oxo-2-[[(2R)-1-Oxo-2-[[(Z)-1-Oxodec-2-Enyl]Amino]-5-Ureidopentyl]Amino]Propyl]Amino]Butanediamide; (2S,3S)-N'-[2-Amino-4-[[(2S,3S)-2-Amino-3-Hydroxy-Butanoyl]Amino]Butanoyl]-N'-[(1S)-3-Amino-3-Keto-1-Methylol-Propyl]-3-[[(2S)-2-[[(2R)-2-[[(Z)-Dec-2-Enoyl]Amino]-5-Ureido-Pentanoyl]Amino]-3-Hydroxy-Propanoyl]Amino]-2-Hydroxy-Succinamide
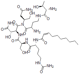
Molecular Structure CAS#: 142689-34-7, Rotihibin A
Molecular Formula C35H63N11O13
Molecular Weight 845.95
CAS Registry Number 142689-34-7
SMILES [C@H](C(=O)N([C@@H](CC(=O)N)CO)C(C(CCNC([C@@H](N)[C@H](C)O)=O)N)=O)(NC([C@@H](NC([C@H](NC(\C=C/CCCCCCC)=O)CCCNC(N)=O)=O)CO)=O)[C@@H](C(N)=O)O
InChI 1S/C35H63N11O13/c1-3-4-5-6-7-8-9-12-25(51)43-22(11-10-14-42-35(40)59)30(54)44-23(18-48)31(55)45-27(28(52)29(39)53)34(58)46(20(17-47)16-24(37)50)33(57)21(36)13-15-41-32(56)26(38)19(2)49/h9,12,19-23,26-28,47-49,52H,3-8,10-11,13-18,36,38H2,1-2H3,(H2,37,50)(H2,39,53)(H,41,56)(H,43,51)(H,44,54)(H,45,55)(H3,40,42,59)/b12-9-/t19-,20-,21?,22+,23-,26-,27-,28-/m0/s1
InChIKey BWAAITPBWDKLCD-IGQYSGFQSA-N
Properties
Density 1.329g/cm3 (Cal.)
Boiling point 1319.129°C at 760 mmHg (Cal.)
Flash point 751.582°C (Cal.)
Market Analysis Reports
List of Reports Available for Rotihibin A
Related Products
(Dtpa-Phe(1))-Octreotide  1,6-Dimethyl-10,11-Dioxo-2,7,8,9-Tetrahy...  Thorium230  Neodymium-147  (1R-(1alpha,4beta))-5'-((4-Amino-2-cyclo...  Ytterbium  4-(4-Fluoro-Phenyl)-Thiazol-2-Yl]-Phenyl...  2-Bromo-N-Tert-Butylpropanamide  1-(2-Dimethylaminoethyl)-3-Ethyl-1-Nitro...  1-[3-(4-Phenylpiperazin-1-Yl)Propyl]-[1,...  Lithium Pivalate  2-[2-(4-Fluorophenyl)-1H-Indol-3-Yl]-N,N...  [(2R)-2-(Dodecanoylamino)-3-Octoxypropyl...  3-Ethylheptanoic Acid  7-Diethylamino-4-Methyl-2-Oxochromene-3-...