Online Database of Chemicals from Around the World

Melandrioside A
[CAS# 142628-19-1]

供应商
CAS#: 142628-19-1
产品: Melandrioside A
暂时没有厂家供应该产品。
基本信息
产品名称 Melandrioside A
英文名 Melandrioside A
别名 6-[(4-Formyl-10-Hydroxy-4,6A,6B,11,11,14B-Hexamethyl-8-Oxo-1,2,3,4A,5,6,7,8A,9,10,12,12A,14,14A-Tetradecahydropicen-3-Yl)Oxy]-3-Hydroxy-5-[3,4,5-Trihydroxy-6-(Hydroxymethyl)Tetrahydropyran-2-Yl]Oxy-4-(3,4,5-Trihydroxy-6-Methyl-Tetrahydropyran-2-Yl)Oxy-Tetrahydropyran-2-Carboxylic Acid; 6-[(4-Formyl-10-Hydroxy-4,6A,6B,11,11,14B-Hexamethyl-8-Oxo-1,2,3,4A,5,6,7,8A,9,10,12,12A,14,14A-Tetradecahydropicen-3-Yl)Oxy]-3-Hydroxy-5-[[3,4,5-Trihydroxy-6-(Hydroxymethyl)-2-Tetrahydropyranyl]Oxy]-4-[(3,4,5-Trihydroxy-6-Methyl-2-Tetrahydropyranyl)Oxy]-2-Tetrahydropyrancarboxylic Acid; 6-[(4-Formyl-10-Hydroxy-8-Keto-4,6A,6B,11,11,14B-Hexamethyl-1,2,3,4A,5,6,7,8A,9,10,12,12A,14,14A-Tetradecahydropicen-3-Yl)Oxy]-3-Hydroxy-5-(3,4,5-Trihydroxy-6-Methylol-Tetrahydropyran-2-Yl)Oxy-4-(3,4,5-Trihydroxy-6-Methyl-Tetrahydropyran-2-Yl)Oxy-Tetrahydropyran-2-Carboxylic Acid
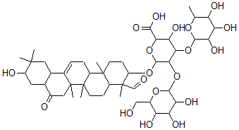
分子结构 CAS 登录号:142628-19-1, Melandrioside A
分子式 C47H72O19
分子量 941.07
CAS 登录号 142628-19-1
分子行输入简码 SMILES C(O)C8OC(OC6C(OC5C(C4C(C1C(C2(C(=CC1)C3C(C(=O)C2)CC(O)C(C3)(C)C)C)(CC4)C)(CC5)C)(C=O)C)OC(C(O)C6OC7OC(C(O)C(O)C7O)C)C(=O)O)C(O)C(O)C8O
国际化学标识码 InChI 1S/C47H72O19/c1-19-29(52)31(54)33(56)40(61-19)64-36-35(58)37(39(59)60)65-42(38(36)66-41-34(57)32(55)30(53)24(17-48)62-41)63-28-11-12-44(4)25(45(28,5)18-49)10-13-46(6)26(44)9-8-22-21-15-43(2,3)27(51)14-20(21)23(50)16-47(22,46)7/h8,18-21,24-38,40-42,48,51-58H,9-17H2,1-7H3,(H,59,60)
国际化学标识检索码 InChIKey RJMAQKQCAFVGQF-UHFFFAOYSA-N
物理化学性质
密度 1.455g/cm3 (计算值)
沸点 1046.152°C at 760 mmHg (计算值)
闪点 300.593°C (计算值)
市场分析报告
请浏览Melandrioside A市场分析报告总目录
相关产品
3,5,6-三羟基-4,6-二(3-甲基丁-2-烯...  (2S,3S,4S,5R,6R)-6-[(2R,3...  5-[3,4-二羟基-4-(羟基甲基)四氢呋喃-2...  (2S)-2-[[[(2S,3S,5R)-3-叠氮...  [(2S,3S,5R)-3-叠氮基-5-(5-甲基...  Songbaisine A  (2Z,4E,6Z,8E)-4-氟-3,7-二甲基...  (3R)-1-[[4-[[(3R)-3-(二乙基氨...  (10R,11S,12S)-11,12-二氢-12...  (+)-Calanolide B  Beticolin 1  (1S,2R,3S,4R)-4-(6-氨基嘌呤-9...  (4E,8E)-N-[(E)-6-(3,3-二甲基...  [2,6-二(丙-2-基)苯基]N-[2,6-二(...  [(2S,3S,5R)-3-叠氮基-5-(3,5-...