Identification
| Name |
N-Lactitol-S-((18F)Fluorophenacyl)Cysteamine |
| Synonyms |
N-Lactitol-S-(Fluorophenacyl)Cysteamine; Nlfpc; D-Glucitol, 1-Deoxy-1-((2-((2-(4-(Fluoro-18F)Phenyl)-2-Oxoethyl)Thio)Ethyl)Amino)-4-O-Beta-D-Galactopyranosyl- |
|
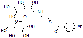
| Molecular Structure |
 |
| Molecular Formula |
C22H34FNO11S |
| Molecular Weight |
539.57 |
| CAS Registry Number |
142154-94-7 |
| SMILES |
[18F]C2=CC=C(C(CSCCNCC(C(C(OC1C(C(C(O)C(CO)O1)O)O)C(CO)O)O)O)=O)C=C2 |
| InChI |
1S/C22H34FNO11S/c23-12-3-1-11(2-4-12)15(29)10-36-6-5-24-7-13(27)17(30)21(14(28)8-25)35-22-20(33)19(32)18(31)16(9-26)34-22/h1-4,13-14,16-22,24-28,30-33H,5-10H2/i23-1 |
| InChIKey |
SXFLYHDEKDBITE-VNRZBHCFSA-N |
|